Open Access
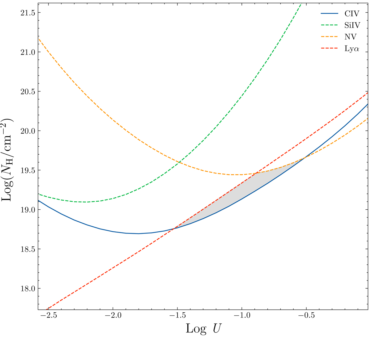
Fig. 9.

Download original image
Theoretical values of U and computed NH assuming the Nion lower limit for CIV (solid blue curve), and upper limits for NV (orange-dashed curve), SiIV (green-dashed curve), and Lyα (red-dashed curve) ions for the A component of the UFO BAL in the SDSS 2012 spectrum of J1548+0855.
Current usage metrics show cumulative count of Article Views (full-text article views including HTML views, PDF and ePub downloads, according to the available data) and Abstracts Views on Vision4Press platform.
Data correspond to usage on the plateform after 2015. The current usage metrics is available 48-96 hours after online publication and is updated daily on week days.
Initial download of the metrics may take a while.