Fig. 9

Download original image
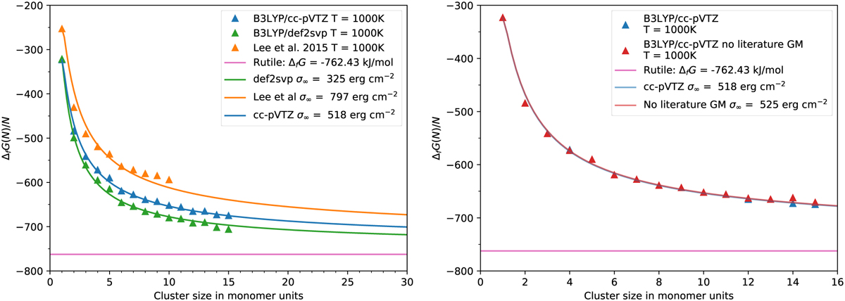
Gibbs free energy of formation per cluster size N as a function of cluster size N at a temperature of T = 1000 K. For each approach, a fit for σ∞ was calculated using Eq. (5). Left: comparison of the resulting surface tensions for different sources of cluster data. The sources are Lee et al. (2015) for the orange line, DFT calculations with the fast basis set def2svp for the green line, and DFT calculations with the accurate basis set cc-pVTZ for the blue line. Right: comparison of the impact of isomer completeness on resulting surface tension. Both lines use thermochemical data derived from the accurate cc-pVTZ basis set DFT calculations. For the blue line, the energetically most favoured isomer was chosen for all sizes, regardless of whether it was found by the approach in this paper. For the red line, only outputs from the approach described here were used. As the resulting difference is small, it becomes apparent that the choice of the basis set has a greater effect than the completeness of the cluster geometries.
Current usage metrics show cumulative count of Article Views (full-text article views including HTML views, PDF and ePub downloads, according to the available data) and Abstracts Views on Vision4Press platform.
Data correspond to usage on the plateform after 2015. The current usage metrics is available 48-96 hours after online publication and is updated daily on week days.
Initial download of the metrics may take a while.