Open Access

Fig. 5

image

Download original image

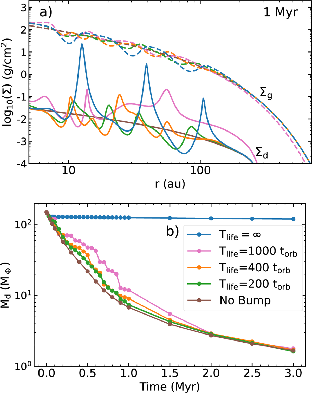
Surface density and dust masses plots of dynamic bumps models. (a) Gas (dashed line) and dust (solid line) surface densities at 1 Myr of evolution for the different dynamic bumps models and the model without any bumps for comparison. (b) Total dust mass of each model over the disk lifetime.

Current usage metrics show cumulative count of Article Views (full-text article views including HTML views, PDF and ePub downloads, according to the available data) and Abstracts Views on Vision4Press platform.

Data correspond to usage on the plateform after 2015. The current usage metrics is available 48-96 hours after online publication and is updated daily on week days.

Initial download of the metrics may take a while.