Fig. 2

Download original image
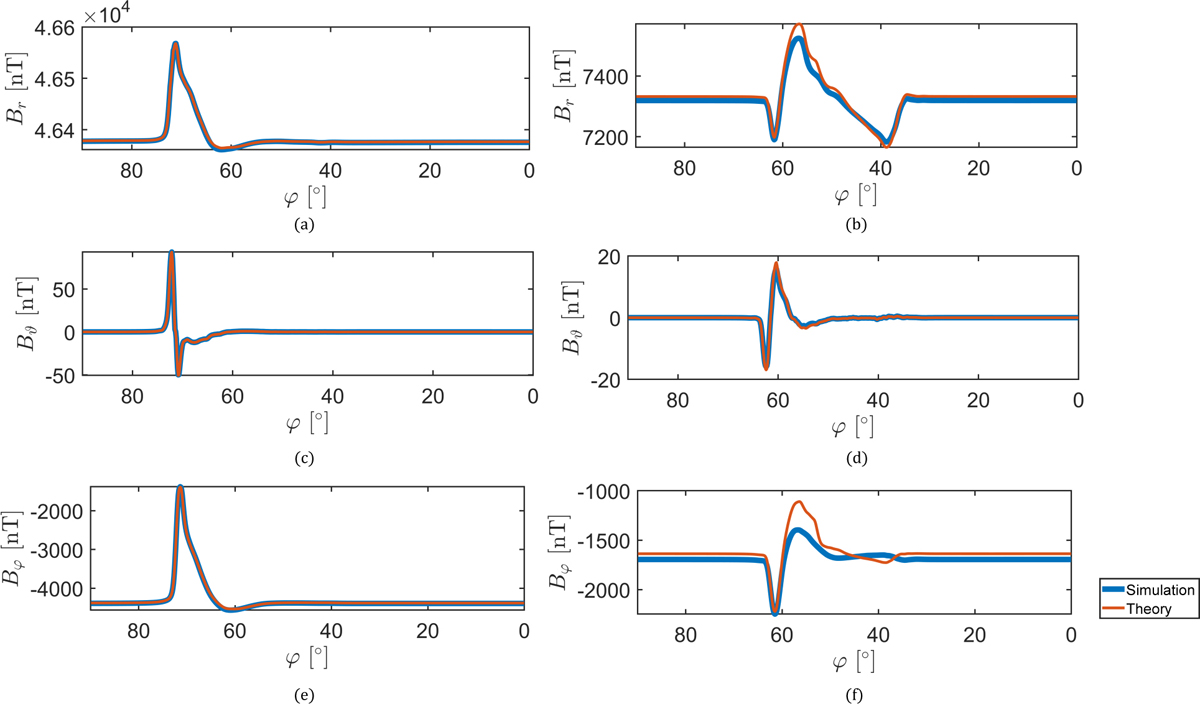
Semi-analytic analysis of the Alfvén wings of TRAPPIST-1 b with line cuts along the φ-direction that display the magnetic field components Br, Bϑ, and Bϑ (from top to bottom). The blue line represents the field component extracted from the simulation results and the red line shows the same components calculated with the Alfvén wing polarization relations (Eqs. (8) and (9)) and the simulated plasma velocity. The panels a, c, and e show a cut through the inwardly traveling Alfvén wing at r = 16 R*. The panels b, d, and f show a cut through the outwardly traveling wave structures at r = 40 R*.
Current usage metrics show cumulative count of Article Views (full-text article views including HTML views, PDF and ePub downloads, according to the available data) and Abstracts Views on Vision4Press platform.
Data correspond to usage on the plateform after 2015. The current usage metrics is available 48-96 hours after online publication and is updated daily on week days.
Initial download of the metrics may take a while.