Open Access
Fig. 4

Download original image
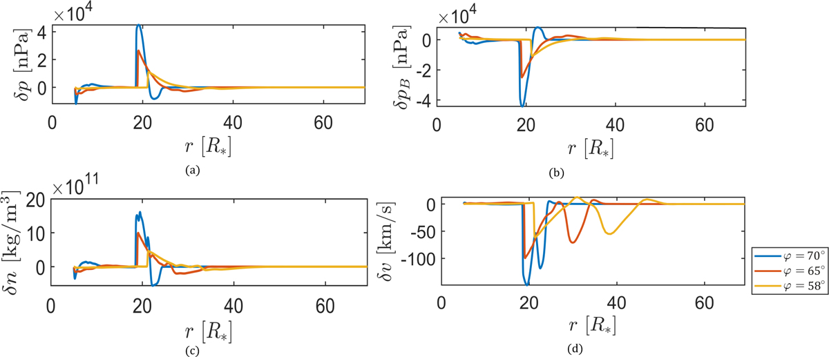
Analysis of the slow shock of TRAPPIST-1 b with line cuts along the radial direction at three different azimuth angles through the outer wave structures of the planet. Presented are the pressure perturbation δp, magnetic pressure perturbation δpB, density perturbation δρ and the perturbation of the total velocity δν.
Current usage metrics show cumulative count of Article Views (full-text article views including HTML views, PDF and ePub downloads, according to the available data) and Abstracts Views on Vision4Press platform.
Data correspond to usage on the plateform after 2015. The current usage metrics is available 48-96 hours after online publication and is updated daily on week days.
Initial download of the metrics may take a while.