Fig. 1.

Download original image
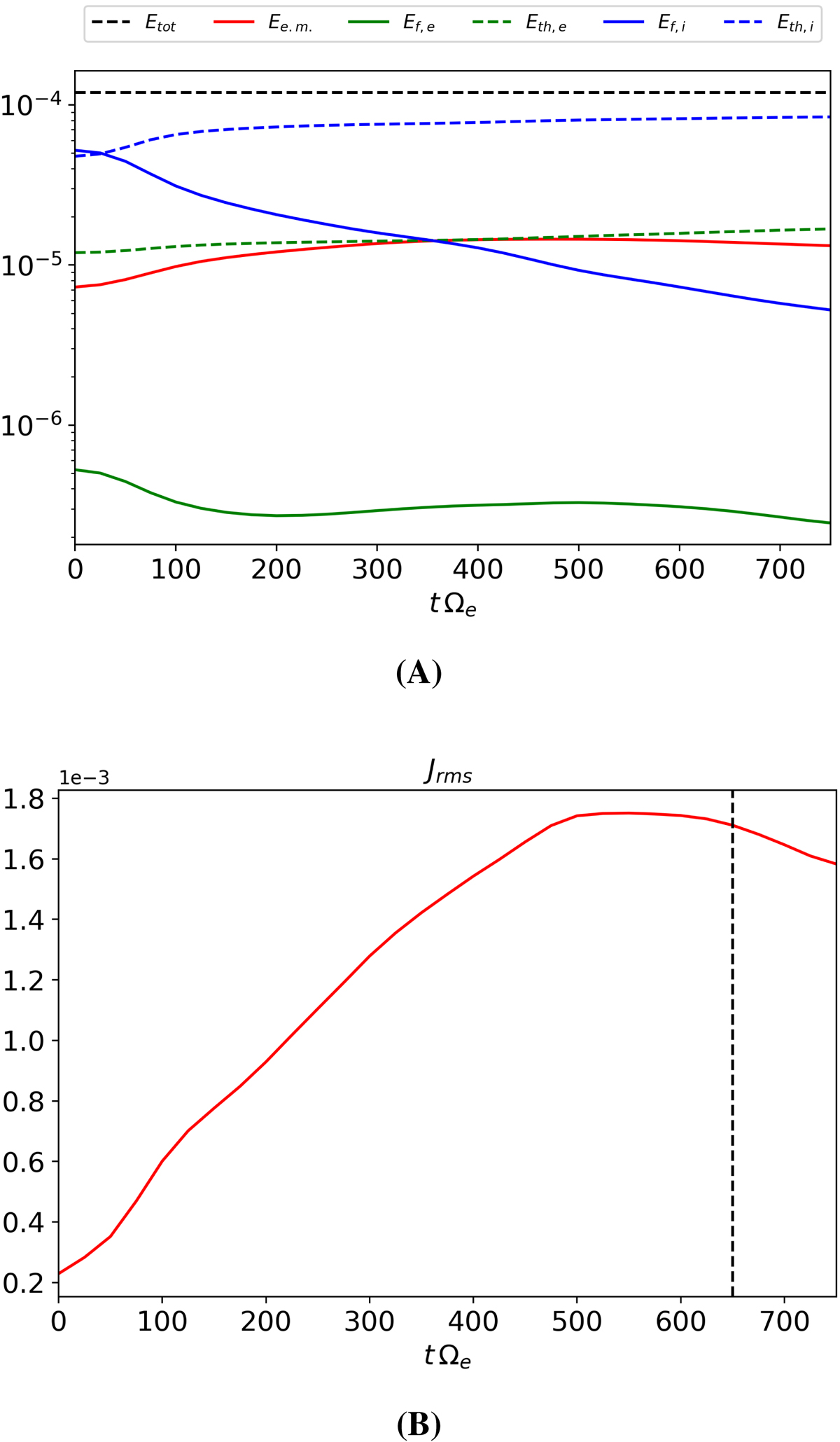
Time evolution of some global quantities characterizing the turbulence. (A) Time evolution of total energy Etot, magnetic energy Ee.m., electron and ion fluid flow energies Ef, e and Ef, i, electron and ion thermal energies Eth, e and Eth, i. (B) Root mean square of the total current Jrms as a function of time. The vertical dashed line indicates the time .
Current usage metrics show cumulative count of Article Views (full-text article views including HTML views, PDF and ePub downloads, according to the available data) and Abstracts Views on Vision4Press platform.
Data correspond to usage on the plateform after 2015. The current usage metrics is available 48-96 hours after online publication and is updated daily on week days.
Initial download of the metrics may take a while.