Fig. 3.

Download original image
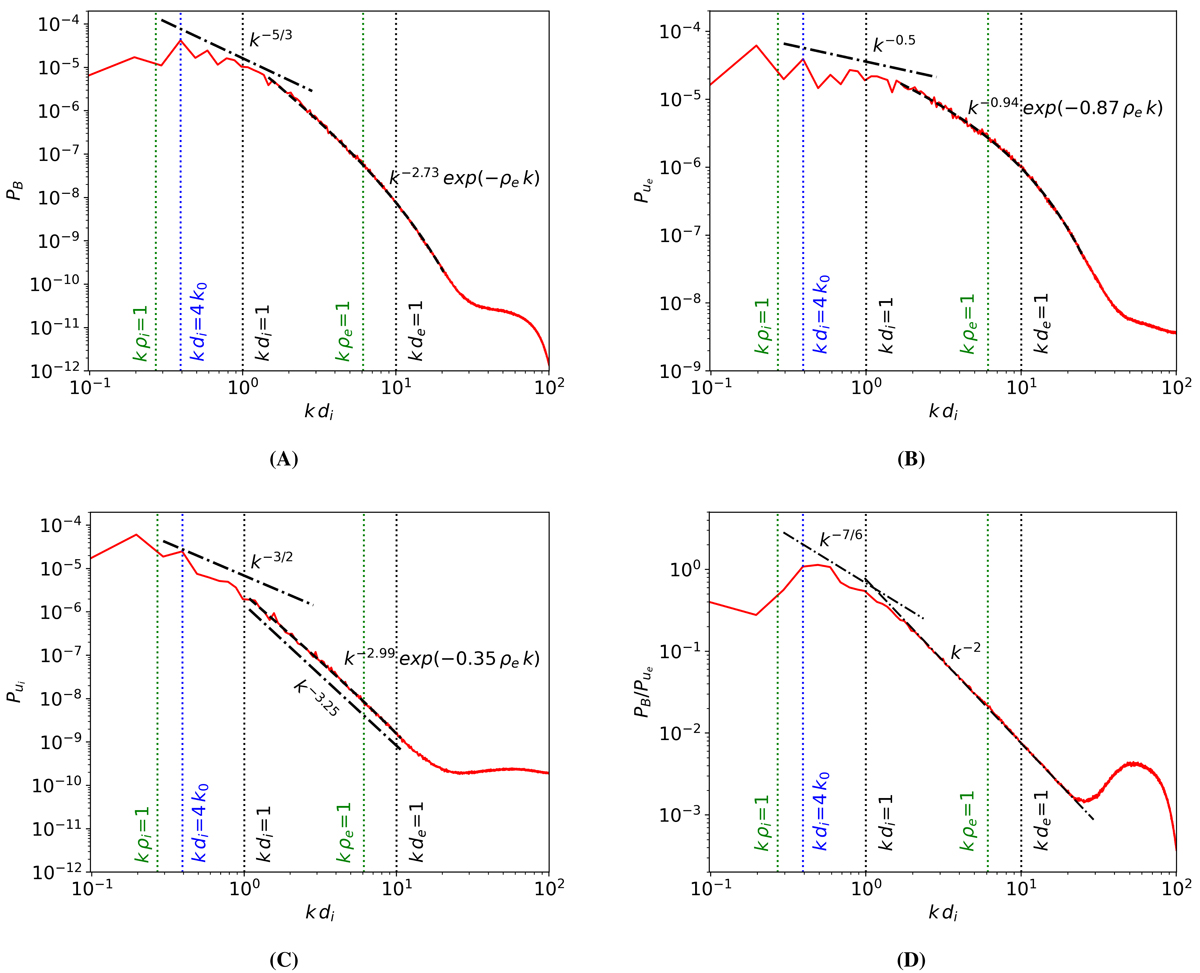
Power spectra at fully developed turbulence. (A) Magnetic field spectrum, (B) electron velocity spectrum, (C) ion velocity spectrum, and (D) ratio of the magnetic to electron velocity spectra at . The power laws indicated by the dash-dotted lines are given as reference. The dashed lines indicate the fitting curves obtained using the exp model. The vertical dotted lines indicate the injection scale k di = 4 k0 and k di = 1, k de = 1, k ρi = 1, k ρe = 1 at
.
Current usage metrics show cumulative count of Article Views (full-text article views including HTML views, PDF and ePub downloads, according to the available data) and Abstracts Views on Vision4Press platform.
Data correspond to usage on the plateform after 2015. The current usage metrics is available 48-96 hours after online publication and is updated daily on week days.
Initial download of the metrics may take a while.