Fig. 11

Download original image
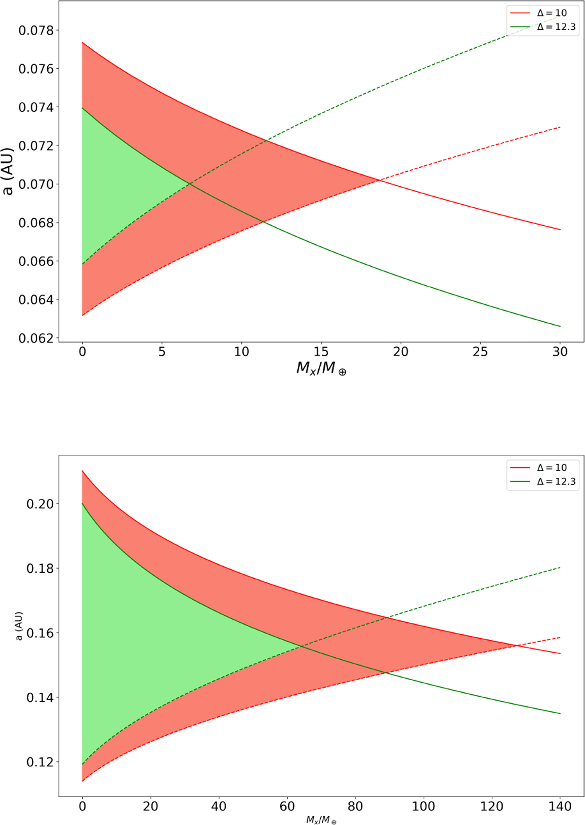
Mass and semi-major axis of a possible undetected planet between TOI-411 b/c (upper panel) and TOI-411 c/d (lower panel). The minimum semi-major axis (axmin) is shown as a dashed line and the maximum one (axmax) is shown as a continuous line for Δcrit = 10 and 12.3 in red and green, respectively. Given Δcrit, the shaded region contains the possible combinations (Mx, ax) for a stable system configuration hosting one more planet.
Current usage metrics show cumulative count of Article Views (full-text article views including HTML views, PDF and ePub downloads, according to the available data) and Abstracts Views on Vision4Press platform.
Data correspond to usage on the plateform after 2015. The current usage metrics is available 48-96 hours after online publication and is updated daily on week days.
Initial download of the metrics may take a while.