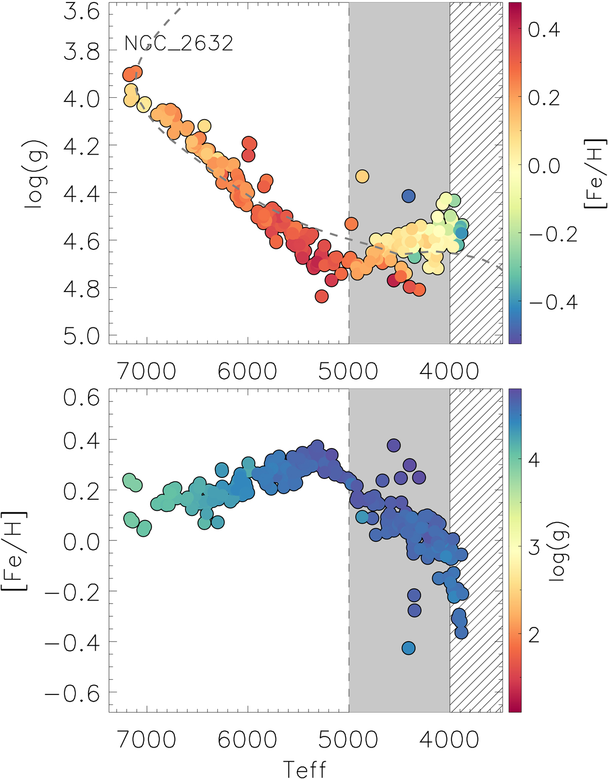
Fig. 4.

Download original image
Kiel diagram (upper panel, colour-coded with [Fe/H]) and [Fe/H] as a function of Teff (lower panel, colour-coded with log(g)) of cluster NGC 2632. For reference, a PARSEC theoretical isochrone of Z = 0.013, log(age) = 9.3 is plotted in the Kiel diagram. The line-shaded region marks Teff < 4000 K, and the grey part marks 5000 K < Teff < 4000 K.
Current usage metrics show cumulative count of Article Views (full-text article views including HTML views, PDF and ePub downloads, according to the available data) and Abstracts Views on Vision4Press platform.
Data correspond to usage on the plateform after 2015. The current usage metrics is available 48-96 hours after online publication and is updated daily on week days.
Initial download of the metrics may take a while.