Fig. 7.

Download original image
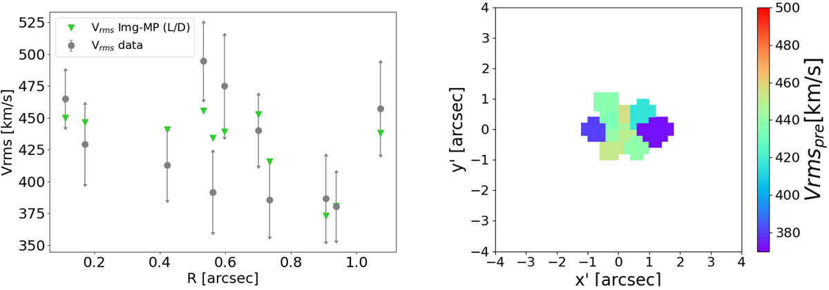
Modeled stellar kinematics of the BGG. Left: Vrms radial profile predicted by the joint lensing and dynamical modeling Img-MP (L/D) (green triangles) from the most-probable model compared to the Vrms measured over the 11 Voronoi bins and their 1σ uncertainties (gray points). The radial position of each resolution element is defined with respect to the BGG centroid. The observed Vrms are consistent with a flat profile, and predicted values are within the 1σ ranges in most bins. Right: predicted Vrms map from model Img-MP (L/D), showing that this model does not fully recover the angular structure of Vrms in Fig. 5.
Current usage metrics show cumulative count of Article Views (full-text article views including HTML views, PDF and ePub downloads, according to the available data) and Abstracts Views on Vision4Press platform.
Data correspond to usage on the plateform after 2015. The current usage metrics is available 48-96 hours after online publication and is updated daily on week days.
Initial download of the metrics may take a while.