Fig. 9.

Download original image
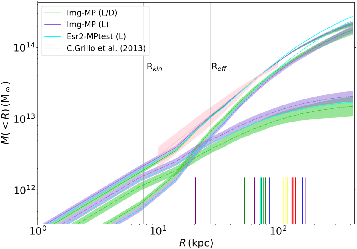
Cumulative mass profiles as a function of radial separation from the BGG center, for the BGG (dot-dashed lines), group-scale (dashed lines), and total (solid lines) mass components of CSWA 31. The shaded regions show the 1σ uncertainties on the mass distributions estimated from the 16th and 84th percentiles of the posterior PDFs. The reference models Img-MP (L), Esr2-MPtest (L), and Img-MP (L/D) are compared using the same colors as in Fig. 8. Vertical lines in the bottom indicate the positions of multiple images used as constraints. The solid pink line with shaded regions shows the total mass of CSWA 31 with 1σ uncertainties estimated by G13, using only image positions of set S0 (green vertical lines) as constraints. The gray line at Rkin = 7.6 kpc shows the coverage of the MUSE spatially resolved stellar kinematics. We also mark Reff to ease comparison with other lenses in the literature.
Current usage metrics show cumulative count of Article Views (full-text article views including HTML views, PDF and ePub downloads, according to the available data) and Abstracts Views on Vision4Press platform.
Data correspond to usage on the plateform after 2015. The current usage metrics is available 48-96 hours after online publication and is updated daily on week days.
Initial download of the metrics may take a while.