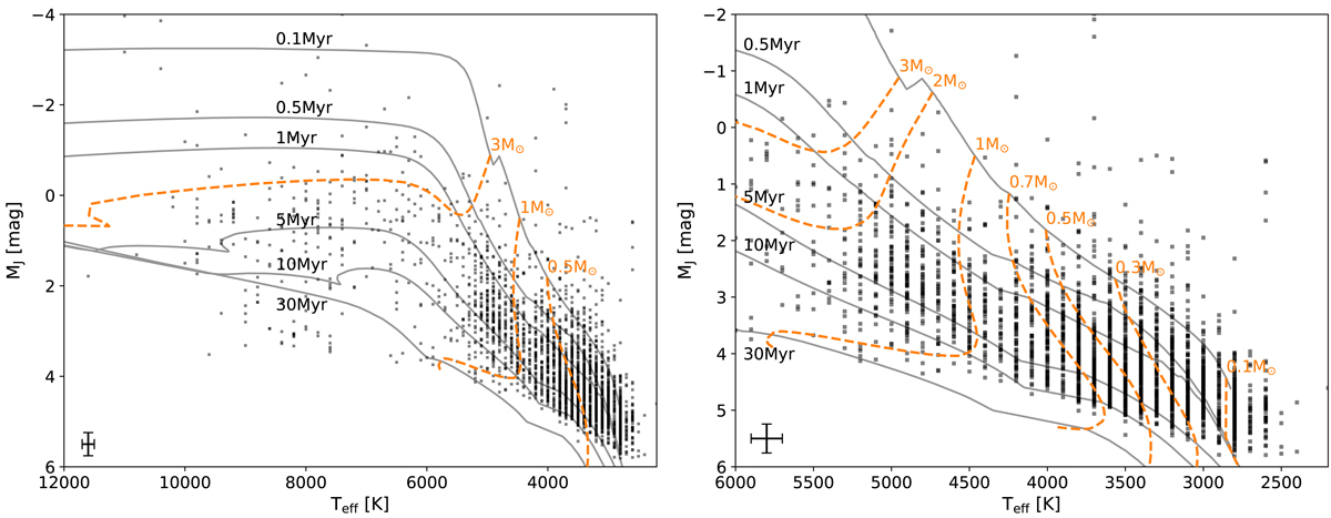
Fig. 18.

Download original image
Hertzsprung-Russell diagram showing the candidates with membership probabilities ≥80% from the run F1 (black dots). The right panel is the zoomed-in version of the one to the left. The isochrones (grey solid lines) and the lines of constant mass (dashed orange lines) are from the PARSEC series. A typical errorbar is shown in the lower left corner.
Current usage metrics show cumulative count of Article Views (full-text article views including HTML views, PDF and ePub downloads, according to the available data) and Abstracts Views on Vision4Press platform.
Data correspond to usage on the plateform after 2015. The current usage metrics is available 48-96 hours after online publication and is updated daily on week days.
Initial download of the metrics may take a while.