Fig. 8.

Download original image
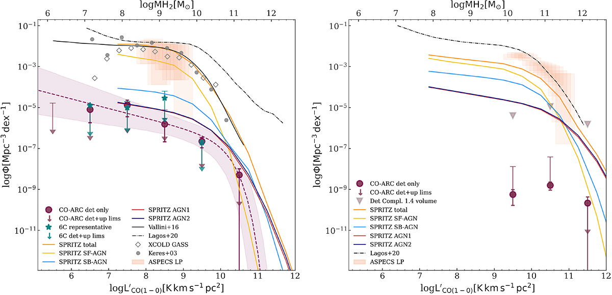
Luminosity functions for 0.005 < z < 0.3 in the left panel and for 1 < z < 2.5 in the right panel. For the local mass and luminosity functions we compare our findings with those of different surveys: the XCOLD GASS (Saintonge et al. 2017; Fletcher et al. 2021, open diamonds) as the gray dots the FIR-selected CO survey of Keres et al. (2003) from the IRAS bright galaxy sample, the empirical CO luminosity function derived from the Herschel IR luminosity (Vallini et al. 2016, black line) and the light orange boxes are results from the ASPECS LP (Decarli et al. 2019). The SHARK semi-analytic models by Lagos et al. (2020) for the CO luminosity function of sub-mm selected galaxies are shown in dotted lines. Predictions from the SPRITZ simulation (Bisigello et al. 2021) are show in orange for all galaxies, and for the different AGN populations in yellow for SF-AGN, in light blue for SB-AGN, and for AGN1 and AGN2 are indicated in red and dark blue, respectively.
Current usage metrics show cumulative count of Article Views (full-text article views including HTML views, PDF and ePub downloads, according to the available data) and Abstracts Views on Vision4Press platform.
Data correspond to usage on the plateform after 2015. The current usage metrics is available 48-96 hours after online publication and is updated daily on week days.
Initial download of the metrics may take a while.