Fig. D.2

Download original image
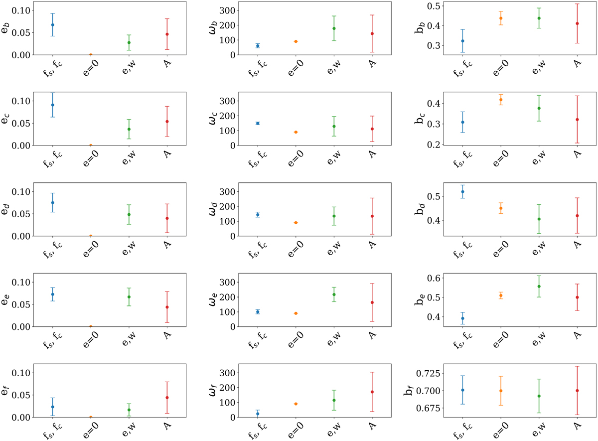
Comparison of fitted values using different parameterizations/priors. We show the fitted eccentricity, e (left panels), argument of periastron ω (middle panels), and impact parameter b (right panels) of each planet. In the x-axis we denote the used method: the (fs,fc) parametrization, fixing the eccentricity to zero (e = 0) and by jumping directly on e and ω (e,ω). We also show the resulting values of the modeling with Allesfiter code (A).
Current usage metrics show cumulative count of Article Views (full-text article views including HTML views, PDF and ePub downloads, according to the available data) and Abstracts Views on Vision4Press platform.
Data correspond to usage on the plateform after 2015. The current usage metrics is available 48-96 hours after online publication and is updated daily on week days.
Initial download of the metrics may take a while.