Fig. 1.

Download original image
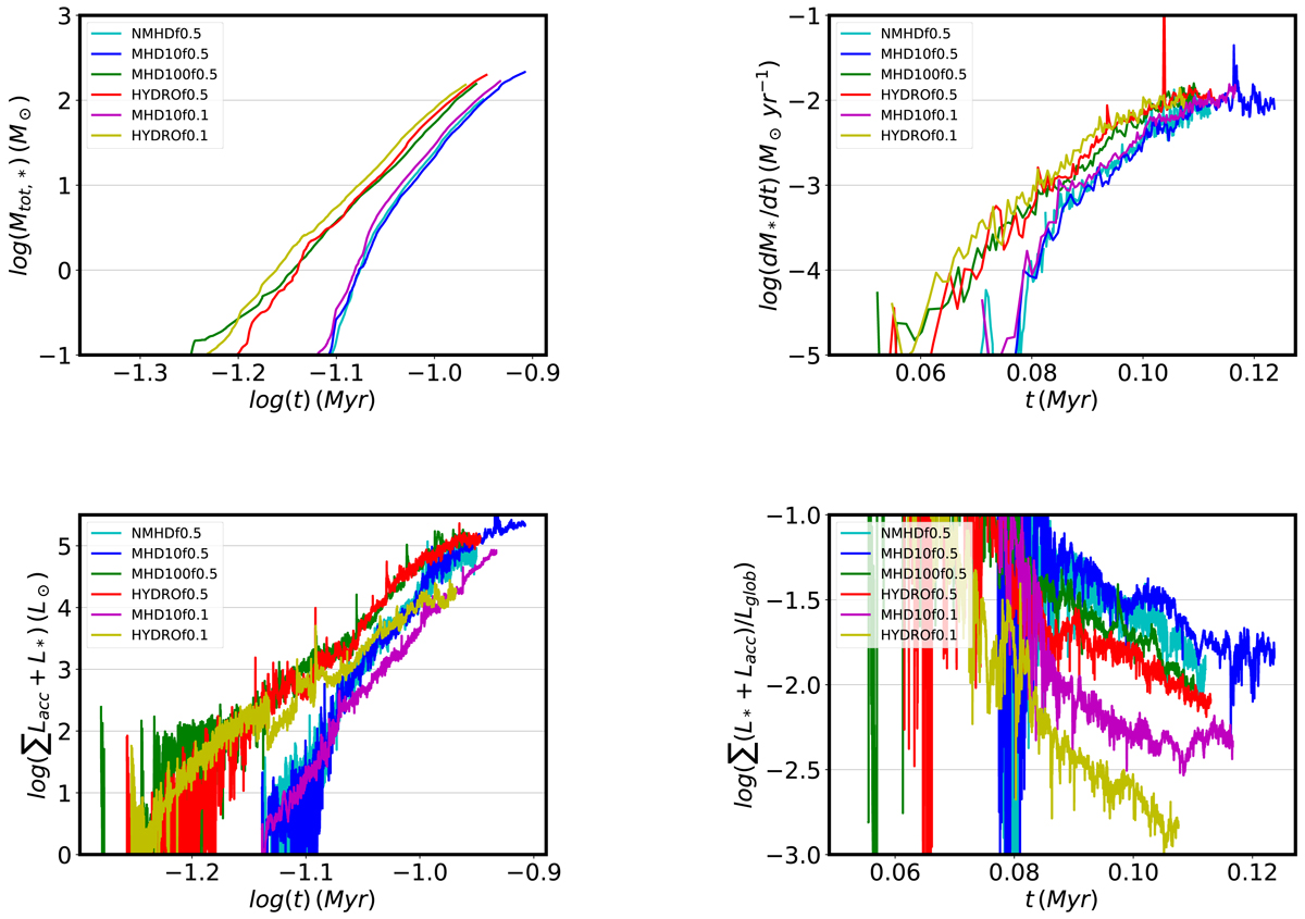
Total mass, accretion rate and luminosity as a function of time. Top row shows the total accreted mass (top-left panel) and the total accretion rate (top-right panel) as a function of time for the various runs. Bottom-left panel portrays the total luminosity while bottom-right panel shows the same quantity divided by Lglob = 0.5 × GM∗,tot Ṁ∗,tot/(2 R⊙).
Current usage metrics show cumulative count of Article Views (full-text article views including HTML views, PDF and ePub downloads, according to the available data) and Abstracts Views on Vision4Press platform.
Data correspond to usage on the plateform after 2015. The current usage metrics is available 48-96 hours after online publication and is updated daily on week days.
Initial download of the metrics may take a while.