Fig. 11

Download original image
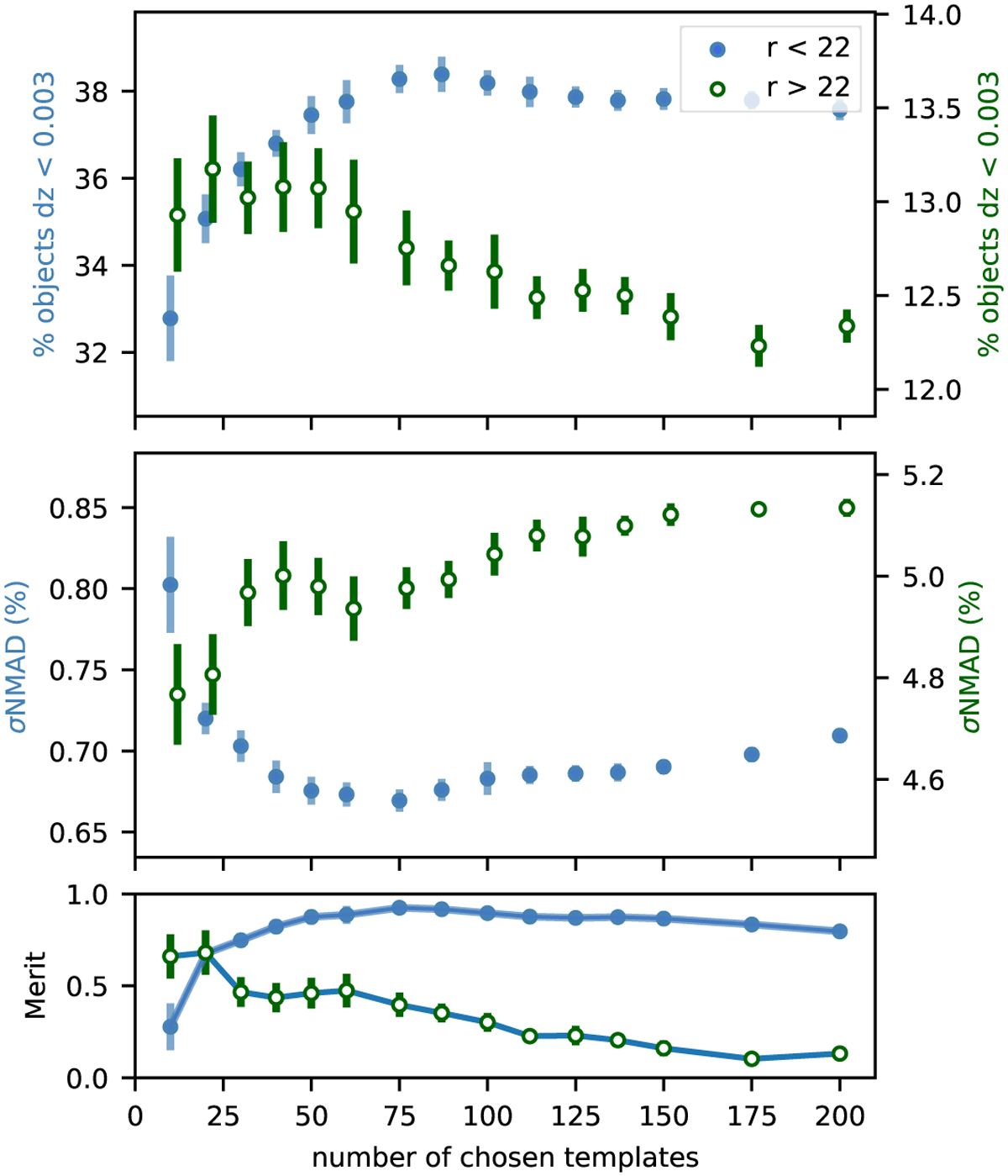
Photometric redshift accuracy depending on the size of the used template set. Each point marks the mean value of the 20 different realisations of a template selection run. Upper panel shows the percentage of objects that fit the J-PAS accuracy criteria while the middle panel shows the achieved median absolute deviation for the normalised distribution (σNMAD). The lower panel shows a merit function for choosing the final number of templates. The two colours are cuts in magnitude where the green points are shifted slightly right for visibility.
Current usage metrics show cumulative count of Article Views (full-text article views including HTML views, PDF and ePub downloads, according to the available data) and Abstracts Views on Vision4Press platform.
Data correspond to usage on the plateform after 2015. The current usage metrics is available 48-96 hours after online publication and is updated daily on week days.
Initial download of the metrics may take a while.