Fig. 7

Download original image
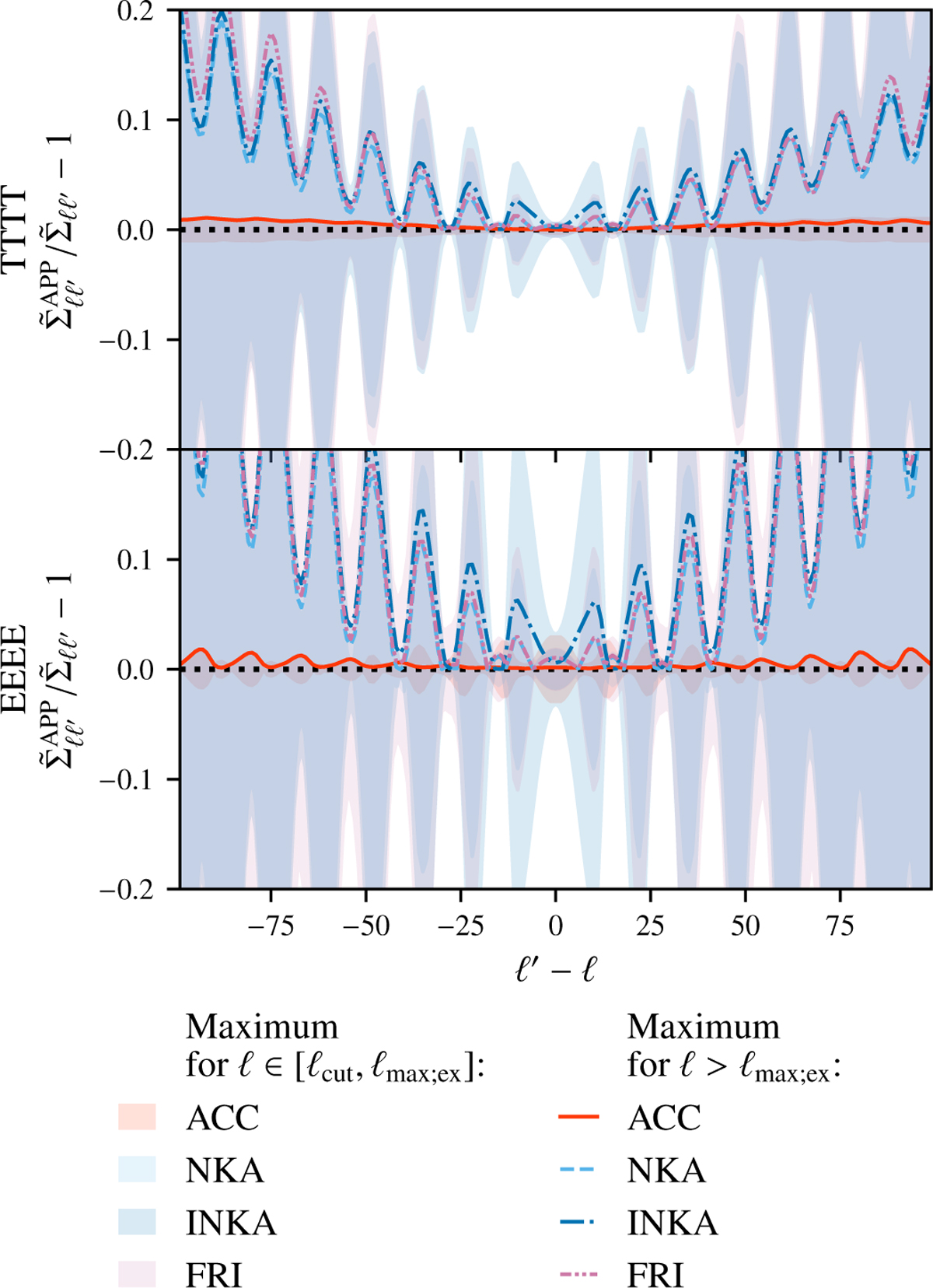
Relative difference between the unbinned approximated covariance matrices compared to the exact calculation, , as a function of Δ = ℓ − ℓ′. We show the NKA (light blue), INKA (dark blue), and FRI (purple) approximations for TTTT (top) and EEEE (bottom). We only show the relative differences for the ℓ at which the deviation is largest, with ℓ ∊ [ℓcut = 200,ℓmax,ex = 1000] (shaded regions) or ℓ ∊ [ℓmax,ex, 2000] (lines).
Current usage metrics show cumulative count of Article Views (full-text article views including HTML views, PDF and ePub downloads, according to the available data) and Abstracts Views on Vision4Press platform.
Data correspond to usage on the plateform after 2015. The current usage metrics is available 48-96 hours after online publication and is updated daily on week days.
Initial download of the metrics may take a while.