Open Access

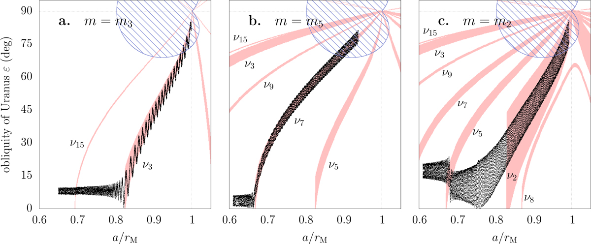
Fig. 4

image

Download original image

Examples of capture in secular spin-orbit resonance and tilting to large obliquities. The satellite’s mass and the resonances are labelled as in Fig. 2. Numerical trajectories go from left to right (black dots) over a timespan of billions of years. The migration timescale τ of the satellite is 9 Gyr for panel a and 6 Gyr for panels b and c. Integrations are stopped in the hatched region, where the numerical model used here fails.

Current usage metrics show cumulative count of Article Views (full-text article views including HTML views, PDF and ePub downloads, according to the available data) and Abstracts Views on Vision4Press platform.

Data correspond to usage on the plateform after 2015. The current usage metrics is available 48-96 hours after online publication and is updated daily on week days.

Initial download of the metrics may take a while.