Fig. 4.

image

Download original image

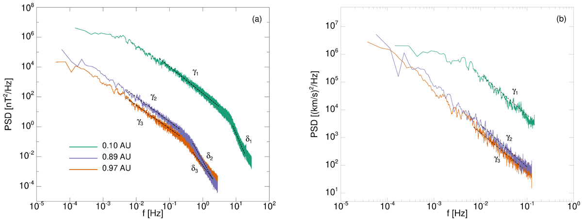
Power spectral density (PSD) of the total magnetic (panel a) and velocity (panel b) field fluctuations for the interval observed by PSP (green) at 0.1 AU, and for the two intervals observed by Solar Orbiter at 0.89 AU (violet) and 0.97 AU (orange). Dotted black lines are the best power-law fits. The relevant slopes, indicated by γ and δ for the inertial and the dissipative ranges, are also reported.

Current usage metrics show cumulative count of Article Views (full-text article views including HTML views, PDF and ePub downloads, according to the available data) and Abstracts Views on Vision4Press platform.

Data correspond to usage on the plateform after 2015. The current usage metrics is available 48-96 hours after online publication and is updated daily on week days.

Initial download of the metrics may take a while.