Open Access

Fig. 13

image

Download original image

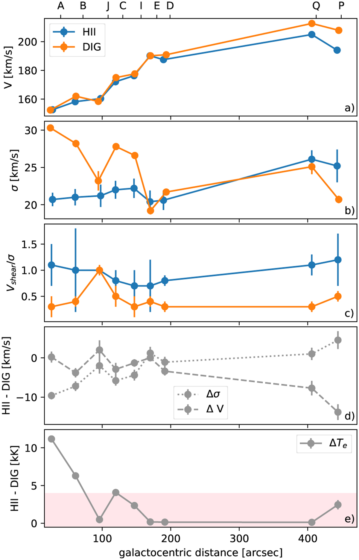
Sample kinematics. (a) Velocity. (b) Velocity dispersion. (c) Vshear/σ. (d) ΔV and Δσ between Hii and DIG. (e) ΔTe between H II and DIG, assuming Δσ is solely due to the thermal component. The pink shaded region is the ΔTe range found in the literature. Panels (b) and (c) have the same legend as in (a). All panels share the galactocentric distance in arcsec as x-axis. The twin axis shows the corresponding field labels.

Current usage metrics show cumulative count of Article Views (full-text article views including HTML views, PDF and ePub downloads, according to the available data) and Abstracts Views on Vision4Press platform.

Data correspond to usage on the plateform after 2015. The current usage metrics is available 48-96 hours after online publication and is updated daily on week days.

Initial download of the metrics may take a while.