Open Access

Fig. 2.

image

Download original image

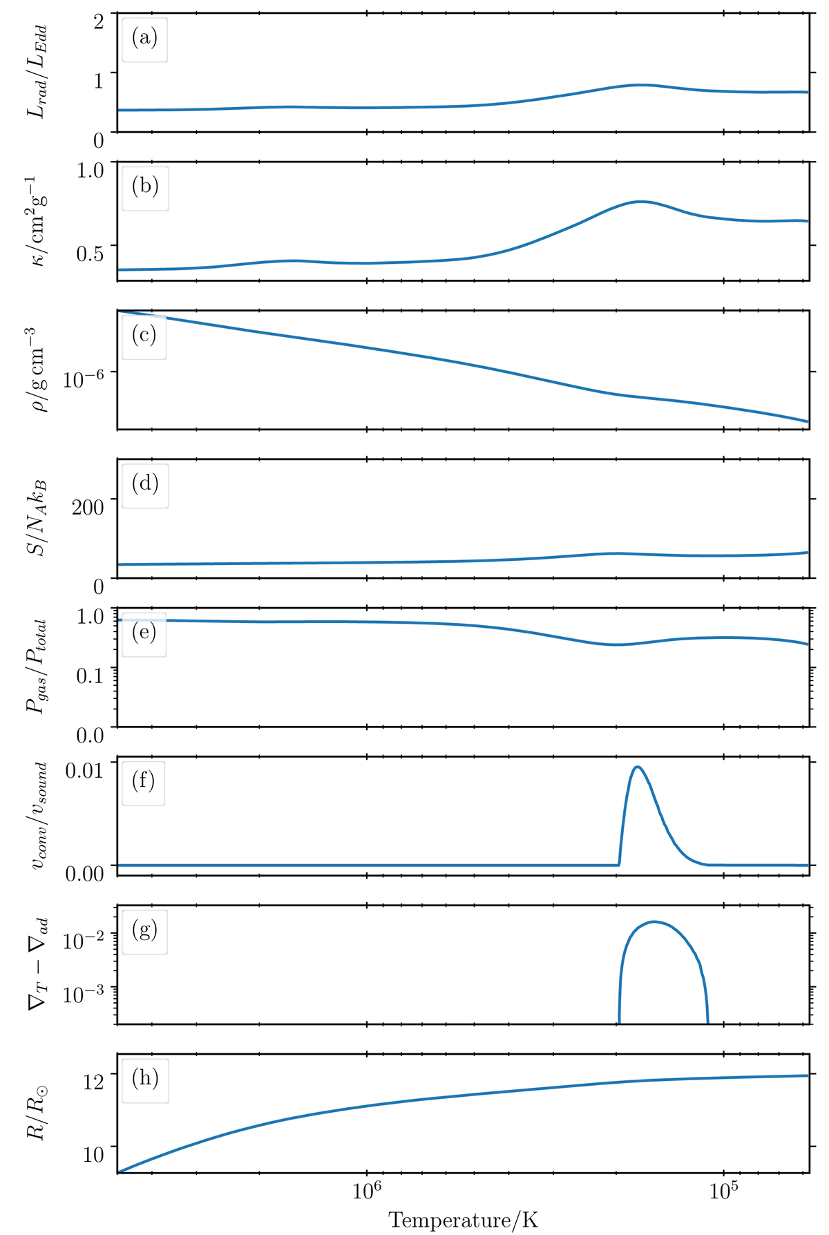
Temperature profile of a 110 M star at the ZAMS evolved using the standard set. Opacity peaks due to partial ionization states of iron are present at 1.5 × 106 and 1.8 × 105 K. However, Lrad/LEdd is less than 1 throughout the star and the evolution of the star proceeds smoothly. For clarity, only the outermost layers of the star (with T ≤ 5 × 106 K) containing the various opacity peaks have been plotted. See Sect. 3.2 for details of each panel.

Current usage metrics show cumulative count of Article Views (full-text article views including HTML views, PDF and ePub downloads, according to the available data) and Abstracts Views on Vision4Press platform.

Data correspond to usage on the plateform after 2015. The current usage metrics is available 48-96 hours after online publication and is updated daily on week days.

Initial download of the metrics may take a while.