Fig. 3.

Download original image
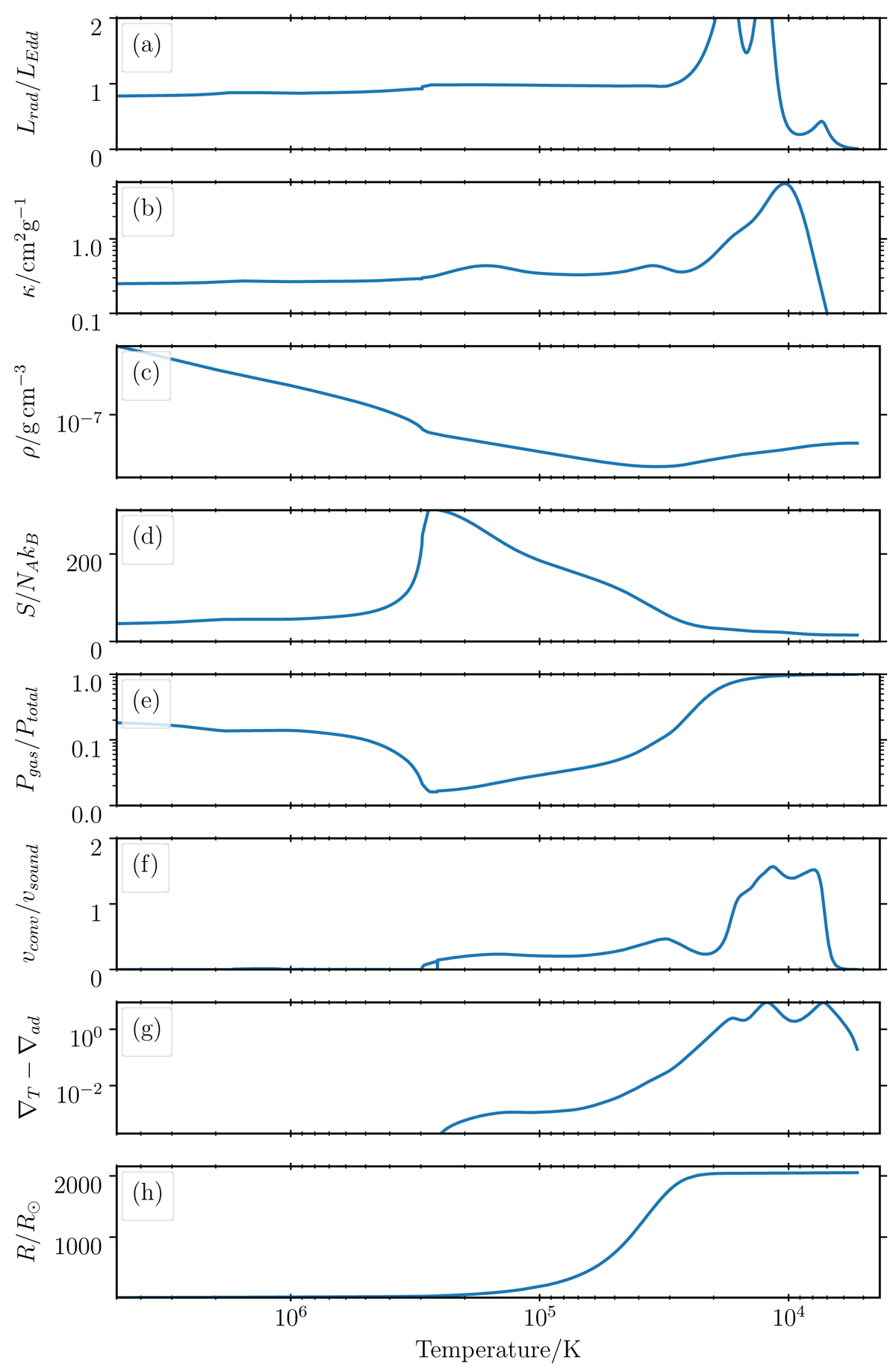
Temperature profile of the outermost layers of a 110 M⊙ star at the end of the simulation, evolved using the standard set. The high luminosity of the star combined with the peak in opacity due to hydrogen and helium ionization around 104 K causes Lrad/LEdd to exceed unity. This causes density and gas pressure inversions at 3 × 104 K. However, the low density of the environment renders convection inefficient and the star struggles to evolve despite reaching supersonic convective velocities.
Current usage metrics show cumulative count of Article Views (full-text article views including HTML views, PDF and ePub downloads, according to the available data) and Abstracts Views on Vision4Press platform.
Data correspond to usage on the plateform after 2015. The current usage metrics is available 48-96 hours after online publication and is updated daily on week days.
Initial download of the metrics may take a while.