Open Access

Fig. 4.

image

Download original image

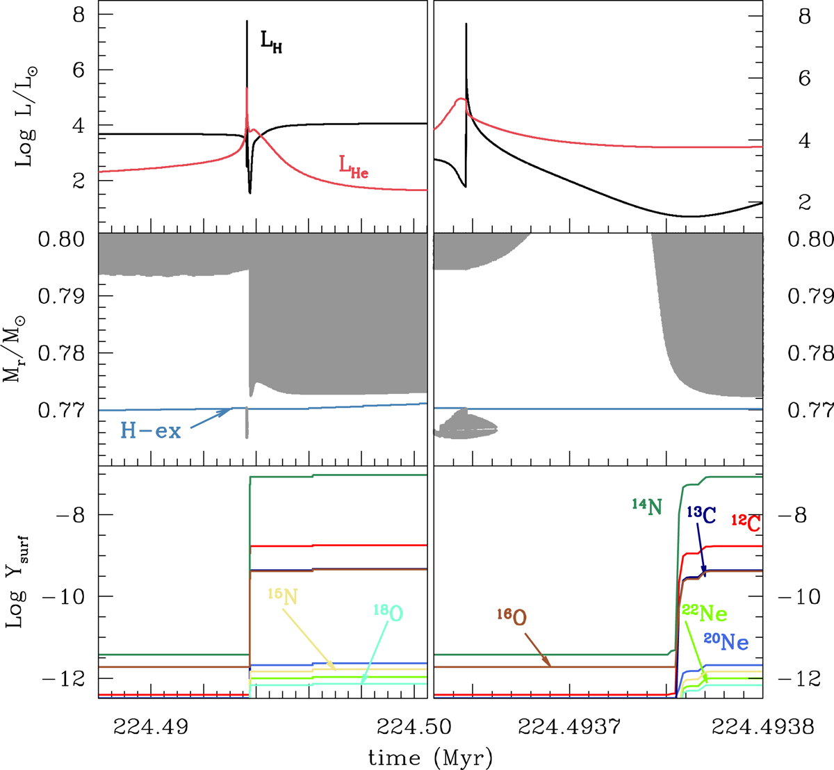
Upper panels: luminosities of H-burning LH (black) and He-burning LHe (red), for the 3 MZ = 10−10 model, during the occurrence of the first dual-shell flash. Right hand panels are a zoomed version of the left panels. Middle panels: convective zones (grey) and H-rich region (blue). Lower panels: logarithm of surface abundances of the most abundant metals.

Current usage metrics show cumulative count of Article Views (full-text article views including HTML views, PDF and ePub downloads, according to the available data) and Abstracts Views on Vision4Press platform.

Data correspond to usage on the plateform after 2015. The current usage metrics is available 48-96 hours after online publication and is updated daily on week days.

Initial download of the metrics may take a while.