Open Access

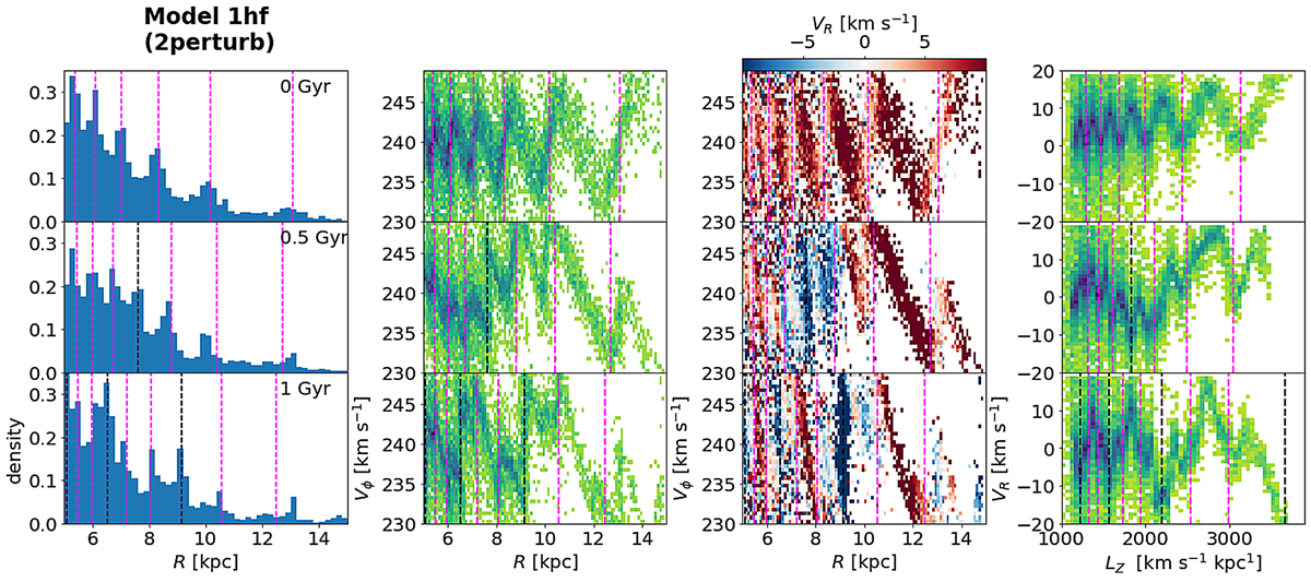
Fig. 10.

image

Download original image

Ridges and waves for Model 1hf for two consecutive perturbations. The plot has the same structure as Fig. 6 but fewer time steps are shown. The pink and black dashed vertical lines are the location of spiral arm wraps from the first and second perturbation, respectively.)

Current usage metrics show cumulative count of Article Views (full-text article views including HTML views, PDF and ePub downloads, according to the available data) and Abstracts Views on Vision4Press platform.

Data correspond to usage on the plateform after 2015. The current usage metrics is available 48-96 hours after online publication and is updated daily on week days.

Initial download of the metrics may take a while.