Fig. 10

Download original image
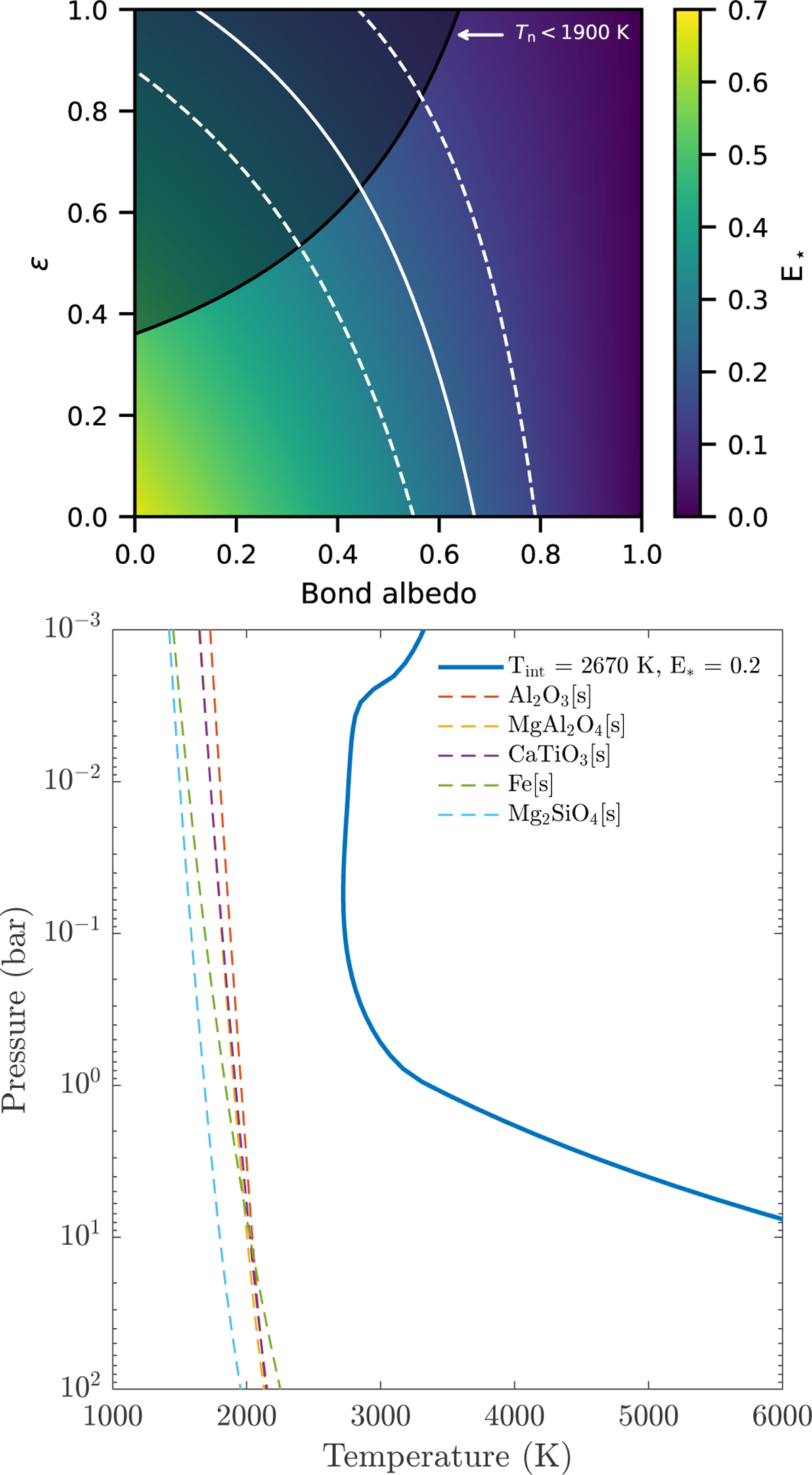
Upper panel: values of E, as a function of the heat recirculation parameter ϵ and Bond albedo AB. The solid white line represents the retrieved median value of E, , the dashed lines are its corresponding 1σ interval, and the shaded region corresponds to the parameter space excluded by the upper nightside Tb limit of 1900 K. Lower panel: temperature-pressure profile of a HELIOS model (solid line), computed for the median values of E, and Tint. Besides the temperature-pressure profile, the lower panel also includes a set of condensate stability curves (dashed lines) for a selected set of species.
Current usage metrics show cumulative count of Article Views (full-text article views including HTML views, PDF and ePub downloads, according to the available data) and Abstracts Views on Vision4Press platform.
Data correspond to usage on the plateform after 2015. The current usage metrics is available 48-96 hours after online publication and is updated daily on week days.
Initial download of the metrics may take a while.