Fig. 13.

Download original image
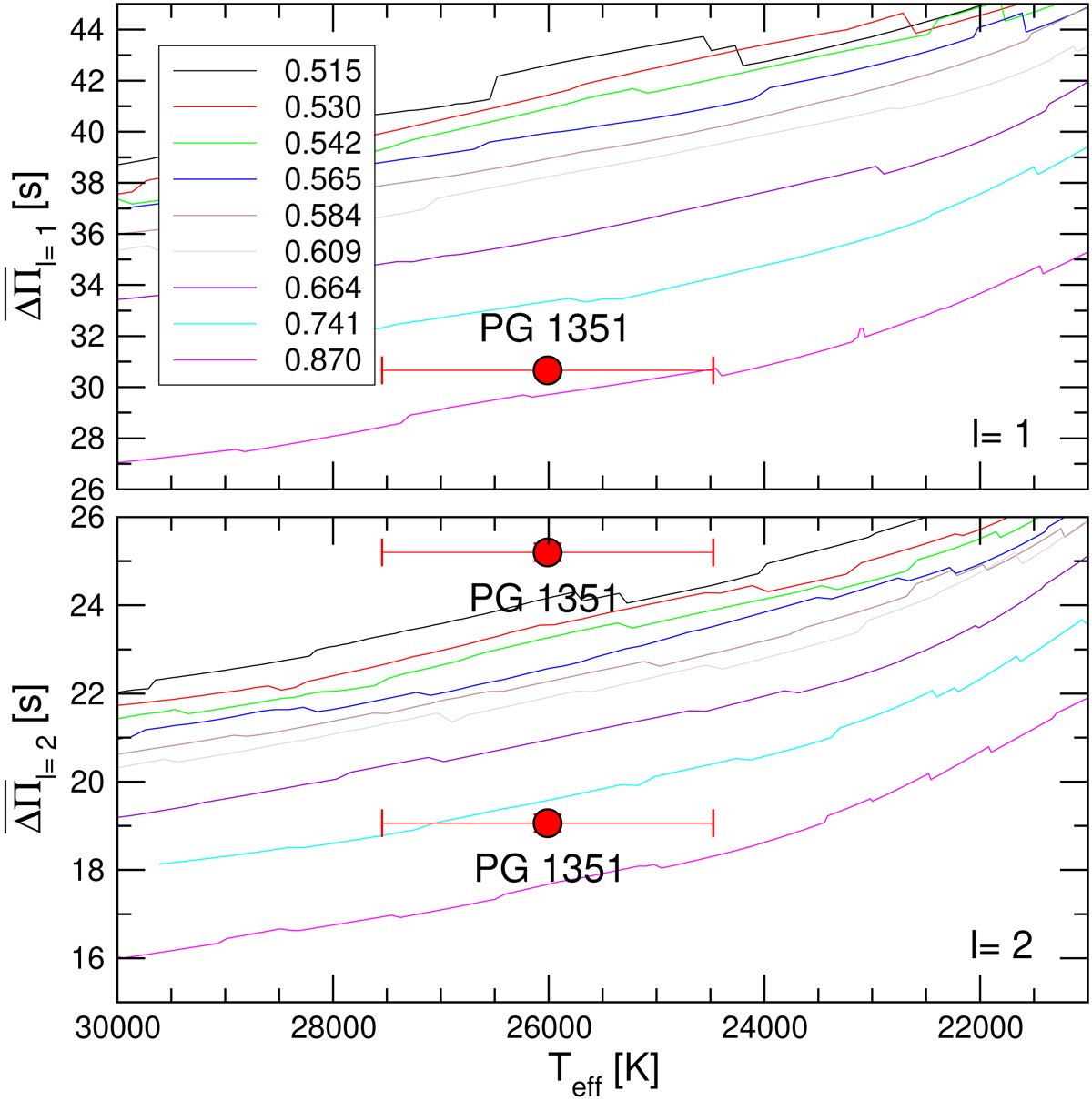
Dipole (upper panel) and quadrupole (lower panel) average of the computed period spacings, , assessed in a range of periods that includes the periods observed in PG 1351, shown as curves of different colors according to the different stellar masses. We consider the effective temperature Teff = 26 010 ± 1536 K (Bergeron et al. 2011), and the possible period spacing values derived from the four periods of PG 1351 according to Table 9. We include the error bars associated with the uncertainties in
and Teff.
Current usage metrics show cumulative count of Article Views (full-text article views including HTML views, PDF and ePub downloads, according to the available data) and Abstracts Views on Vision4Press platform.
Data correspond to usage on the plateform after 2015. The current usage metrics is available 48-96 hours after online publication and is updated daily on week days.
Initial download of the metrics may take a while.