Open Access

Fig. 5.

image

Download original image

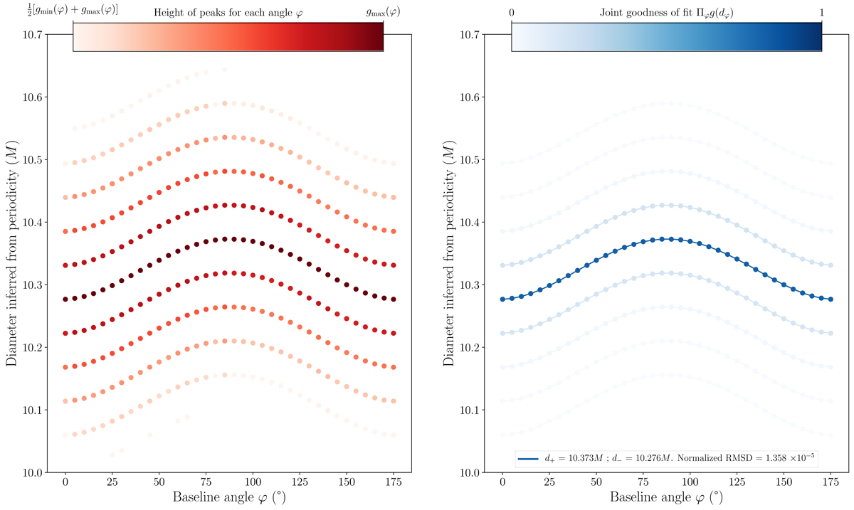
Example of a successful circlipse fit and Kerr hypothesis test. Left: every 5°, we determine the possible diameters dφ of the n = 2 ring by maximizing the goodness-of-fit measured g(dφ) (Eq. (36)). For each angle φ, we obtain a periodic set of diameters separated by Δdφ ≈ 1/uw, with likelihood proportional to g(dφ) and indicated by the coloring of the data point. Right: circlipse fit for each of the possible rings. The darkest circlipse is most likely to be the true shape of the image ring, since the corresponding “joint goodness of fit” far exceeds that of the other solutions.

Current usage metrics show cumulative count of Article Views (full-text article views including HTML views, PDF and ePub downloads, according to the available data) and Abstracts Views on Vision4Press platform.

Data correspond to usage on the plateform after 2015. The current usage metrics is available 48-96 hours after online publication and is updated daily on week days.

Initial download of the metrics may take a while.