Open Access

Fig. 8.

image

Download original image

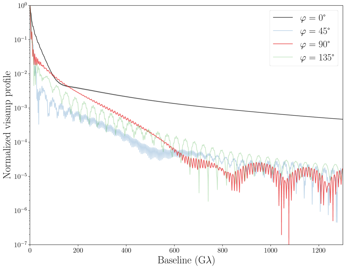
Visibility amplitude profiles |V(u, φ)| of the image in Fig. 7. At φ = 90°, the ringing signature is sensitive to the projected diameter dφ of a hybrid ring composed of the upper half of the n = 1 ring and lower half of the n = 2 ring, as well as to the distance between this hybrid ring and the horizontal line of direct n = 0 emission. These visamps are not exact as they neglect emission from outside the field of view of Fig. 7.

Current usage metrics show cumulative count of Article Views (full-text article views including HTML views, PDF and ePub downloads, according to the available data) and Abstracts Views on Vision4Press platform.

Data correspond to usage on the plateform after 2015. The current usage metrics is available 48-96 hours after online publication and is updated daily on week days.

Initial download of the metrics may take a while.