Fig. B.1

Download original image
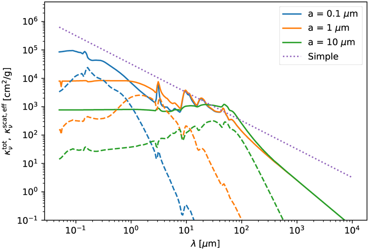
Dust grain opacity model used for this study. Shown here is the opacity as a function of wavelength for three grain sizes in units of cm2 per gram of dust. Solid line: total effective opacity ; dashed line: effective scattering opacity
. The dotted line represents the simple κλ = 3π/2ρsλ opacity model of Ivezic et al. (1997) in the vanishingly small grain size limit.
Current usage metrics show cumulative count of Article Views (full-text article views including HTML views, PDF and ePub downloads, according to the available data) and Abstracts Views on Vision4Press platform.
Data correspond to usage on the plateform after 2015. The current usage metrics is available 48-96 hours after online publication and is updated daily on week days.
Initial download of the metrics may take a while.