Open Access
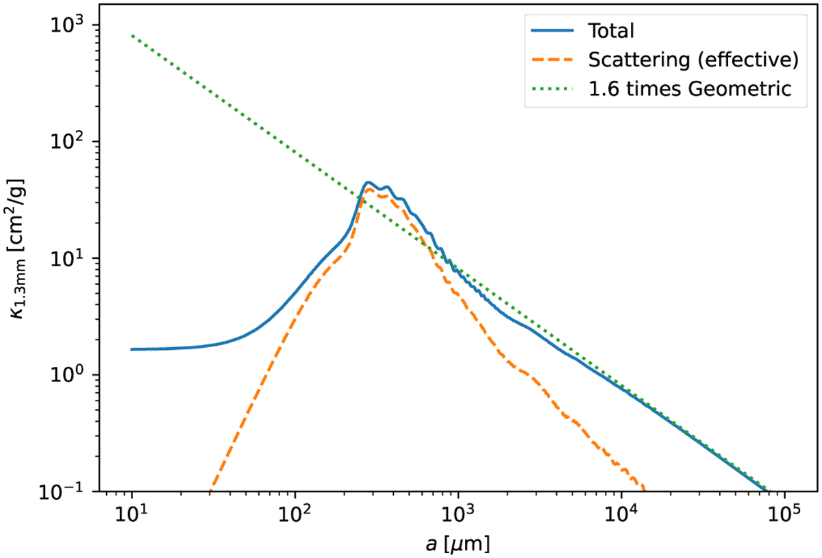
Fig. 9

Download original image
Dust opacity at λ = 1.3 mm as a function of grain size in units of cm2 per gram of dust. Solid line: total opacity ; dashed line: effective scattering opacity
; dotted line: Eq. (3) for Qλ = 1.6.
Current usage metrics show cumulative count of Article Views (full-text article views including HTML views, PDF and ePub downloads, according to the available data) and Abstracts Views on Vision4Press platform.
Data correspond to usage on the plateform after 2015. The current usage metrics is available 48-96 hours after online publication and is updated daily on week days.
Initial download of the metrics may take a while.