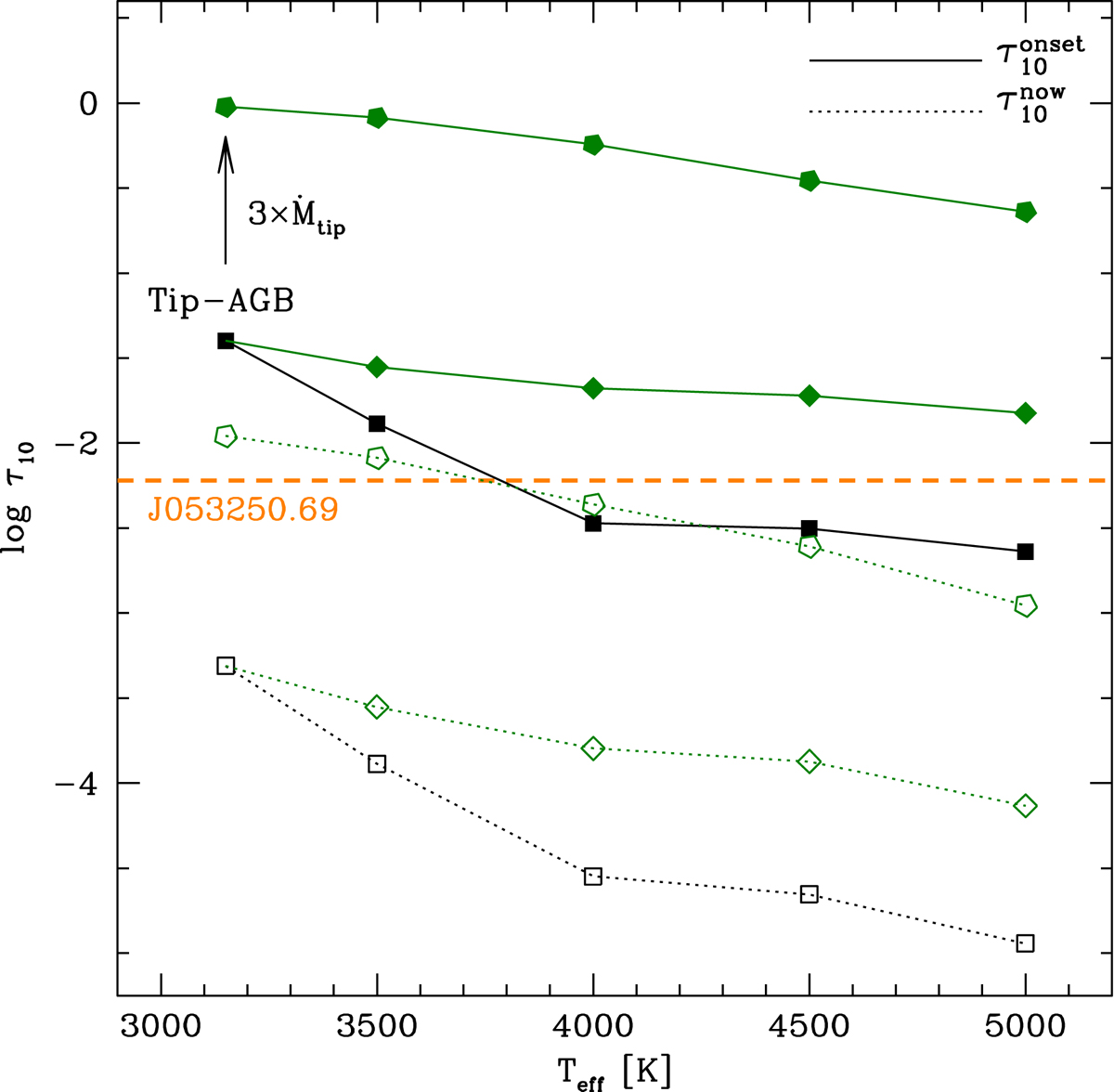
Fig. 12.

Download original image
Variation with the effective temperature of the optical depth, characterizing various evolutionary phases of a 1 M⊙ model star, from the tip of the AGB (first point on the plane) to the post-AGB. Full squares connected with solid lines indicate the values of obtained with the physical ingredients discussed in Sect. 2 to model the evolution of the star, whereas open squares refer to the expected optical depths that would be observed in the present epoch,
. Full and open diamonds refer to the results obtained by assuming a different scaling of mass loss with the effective temperature during the contraction to the post-AGB phase (see text for details). Green pentagons indicate the optical depths obtained by artificially increasing the mass-loss rate at the tip of AGB by a factor of three. The dashed orange line indicates the optical depth of J053250.69, obtained by SED fitting.
Current usage metrics show cumulative count of Article Views (full-text article views including HTML views, PDF and ePub downloads, according to the available data) and Abstracts Views on Vision4Press platform.
Data correspond to usage on the plateform after 2015. The current usage metrics is available 48-96 hours after online publication and is updated daily on week days.
Initial download of the metrics may take a while.