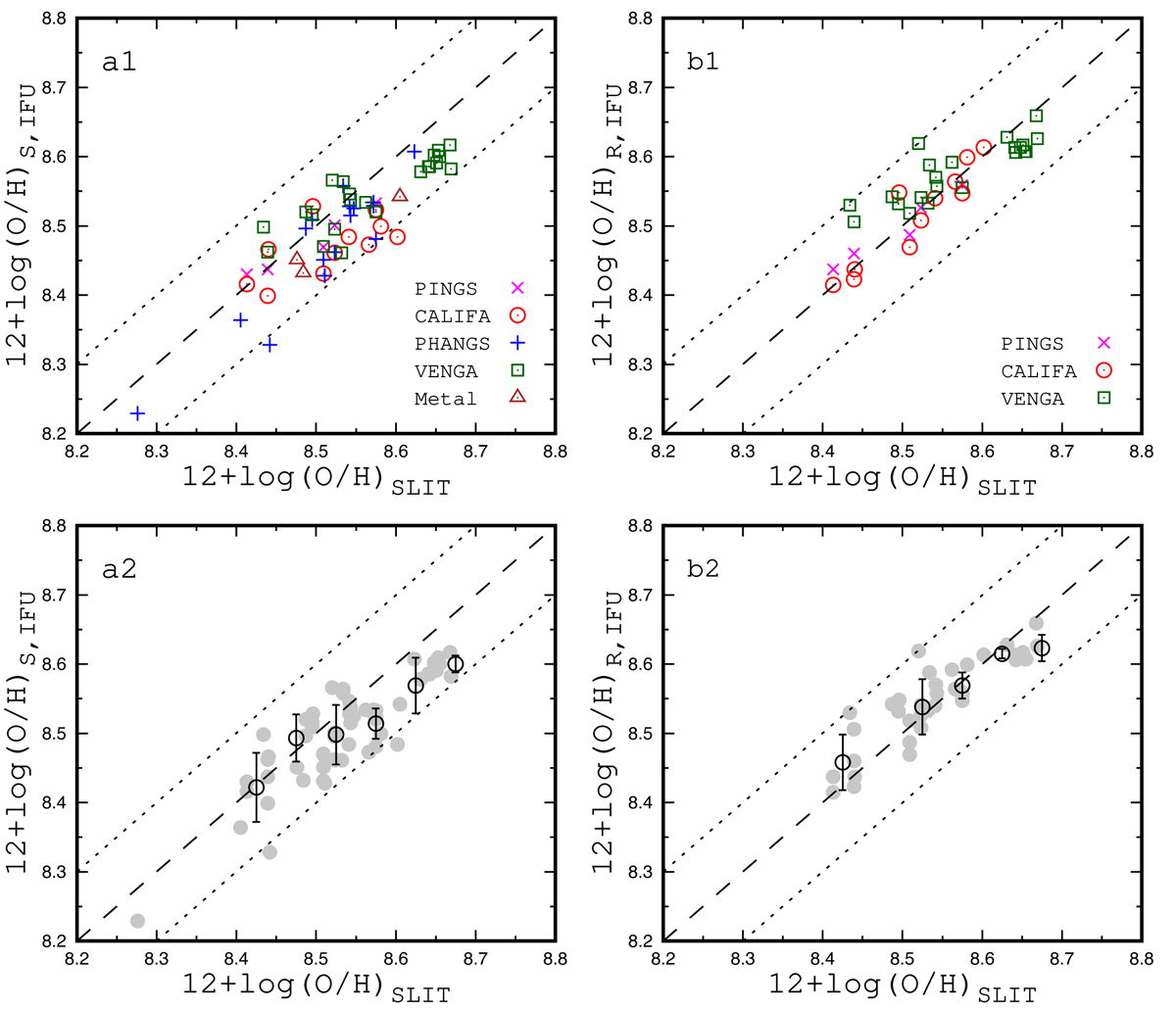
Fig. 6.

Download original image
Comparison between the abundances based on the slit spectra of H II regions and the abundances estimated from the IFU spectra of H II regions (or spatial samplings, fibres) using the R and the S calibrations. Panel a1: IFU spectra-based oxygen abundances obtained through the S calibration vs. oxygen abundances estimated from the slit spectra for our sample of galaxies (each point shows the median value in bins of 0.1 in R/R25 in individual galaxy, see Fig. 3, Figs. A.1–A.7). The abundances based on the IFU spectra from different surveys are shown by different symbols. The solid line indicates the one-to-one relation, while the dashed line shows the ±0.1 dex deviation. Panel b1: same as panel (a1) but for the IFU spectra-based abundances estimated through the R calibration. Panel a2: grey points are data from panel (a1), and the dark circles mark the mean value in bins of 0.05 in log(O/H) for those data points. Panel b2: same as panel (a2) but for the IFU spectra-based abundances estimated through the R calibration.
Current usage metrics show cumulative count of Article Views (full-text article views including HTML views, PDF and ePub downloads, according to the available data) and Abstracts Views on Vision4Press platform.
Data correspond to usage on the plateform after 2015. The current usage metrics is available 48-96 hours after online publication and is updated daily on week days.
Initial download of the metrics may take a while.