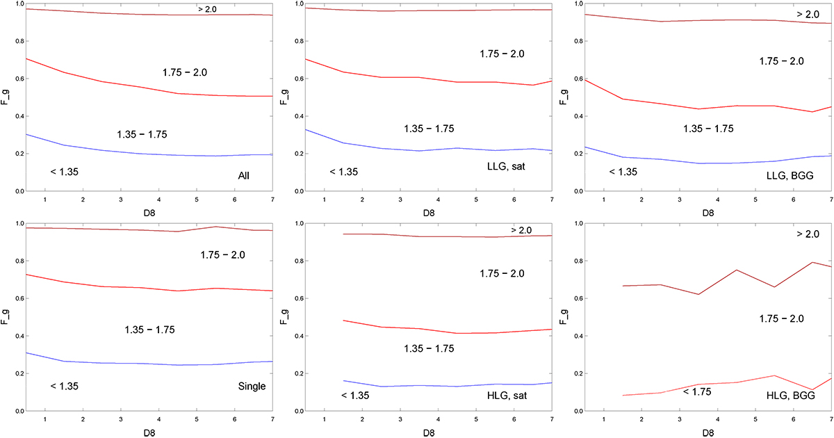
Fig. 8.

Download original image
Galaxy content of various global density D8 regions according to the Dn(4000) index in the following intervals: Dn(4000)≤1.35, 1.35 < Dn(4000)≤1.75, 1.75 < Dn(4000)≤2.0, and Dn(4000) > 2.0. Upper left panel: All galaxies. Upper middle panel: LLG satellite galaxies. Upper right panel: LLG BGGs. Lower left panel: Single galaxies. Lower middle panel: HLG satellite galaxies. Lower right panel: HLG BBGs.
Current usage metrics show cumulative count of Article Views (full-text article views including HTML views, PDF and ePub downloads, according to the available data) and Abstracts Views on Vision4Press platform.
Data correspond to usage on the plateform after 2015. The current usage metrics is available 48-96 hours after online publication and is updated daily on week days.
Initial download of the metrics may take a while.