Open Access
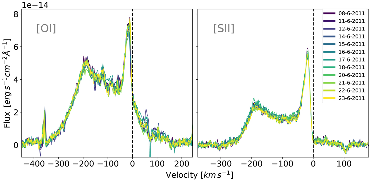
Fig. 2.

Download original image
Outflow-tracing lines of [O I] 6300 Å and [S II] 6730 Å over the 12 epochs of ESPaDOnS observations spanning from 08 June 2011 to 23 June 2011. These spectra are continuum-subtracted and flux calibrated. The features at ∼ − 370 km s−1 and ∼ + 80 km s−1 are residuals from the telluric removal.
Current usage metrics show cumulative count of Article Views (full-text article views including HTML views, PDF and ePub downloads, according to the available data) and Abstracts Views on Vision4Press platform.
Data correspond to usage on the plateform after 2015. The current usage metrics is available 48-96 hours after online publication and is updated daily on week days.
Initial download of the metrics may take a while.