Fig. 3.

Download original image
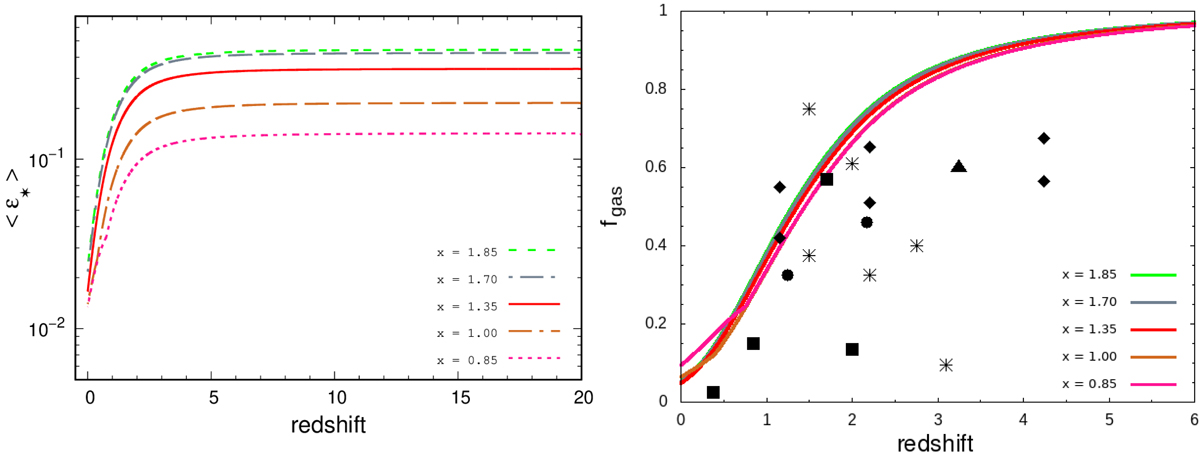
Evolution of the fraction of gas converted into stars for different values of the IMF used in this work. Left: evolution of the average star formation efficiency (defined as ⟨ε⋆⟩) as a function of z. Right: evolution of the fraction of total cold gas associated with star formation (fgas). The symbols show the measurements compiled as follows: circles by Tacconi et al. (2018), squares by Scoville et al. (2014), diamonds by Scoville et al. (2016), stars by Dessauges-Zavadsky et al. (2015), and triangles by Schinnerer et al. (2016). See also Fig. 13b of Hodge & da Cunha (2020).
Current usage metrics show cumulative count of Article Views (full-text article views including HTML views, PDF and ePub downloads, according to the available data) and Abstracts Views on Vision4Press platform.
Data correspond to usage on the plateform after 2015. The current usage metrics is available 48-96 hours after online publication and is updated daily on week days.
Initial download of the metrics may take a while.