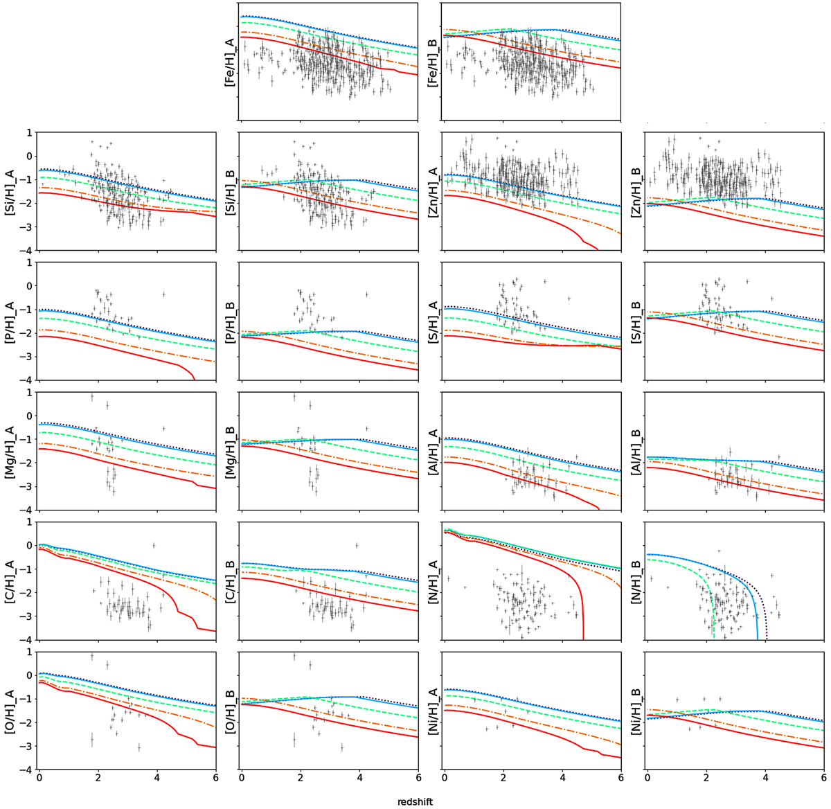
Fig. 7.

Download original image
Chemical evolution for Fe, Si, Zn, Ni, P, Mg, Al, S, C, N, and O since the first stars started to die (z = 20) until z = 0. Model A starts with zero-metallicity stars, and as the Universe gets enriched, subsequent Pop II stars with increasing metallicity start to appear, until reaching Z = 2 × 10−2 Z⊙, according to the model described in Sect. 2.4. It is possible to observe the chemical avalanche in the early Universe given by the high production of metals from Pop III stars. As discussed in the text, model B considers only Pop II stars. The gray crosses represent data from Pettini et al. (1997, 2000, 2008), Centurion et al. (1998), Vladilo (1998), Dessauges-Zavadsky et al. (2002, 2003), Nissen et al. (2004), Akerman et al. (2005), Kulkarni et al. (2007), Prochaska et al. (2007), Penprase et al. (2010), Cooke et al. (2011), Kulkarni et al. (2012), Rafelski et al. (2012), Jorgenson et al. (2013), Neeleman et al. (2013), Zafar et al. (2014), and De Cia et al. (2016). All abundances were rescaled to solar values from Asplund et al. (2009).
Current usage metrics show cumulative count of Article Views (full-text article views including HTML views, PDF and ePub downloads, according to the available data) and Abstracts Views on Vision4Press platform.
Data correspond to usage on the plateform after 2015. The current usage metrics is available 48-96 hours after online publication and is updated daily on week days.
Initial download of the metrics may take a while.