Fig. 1

Download original image
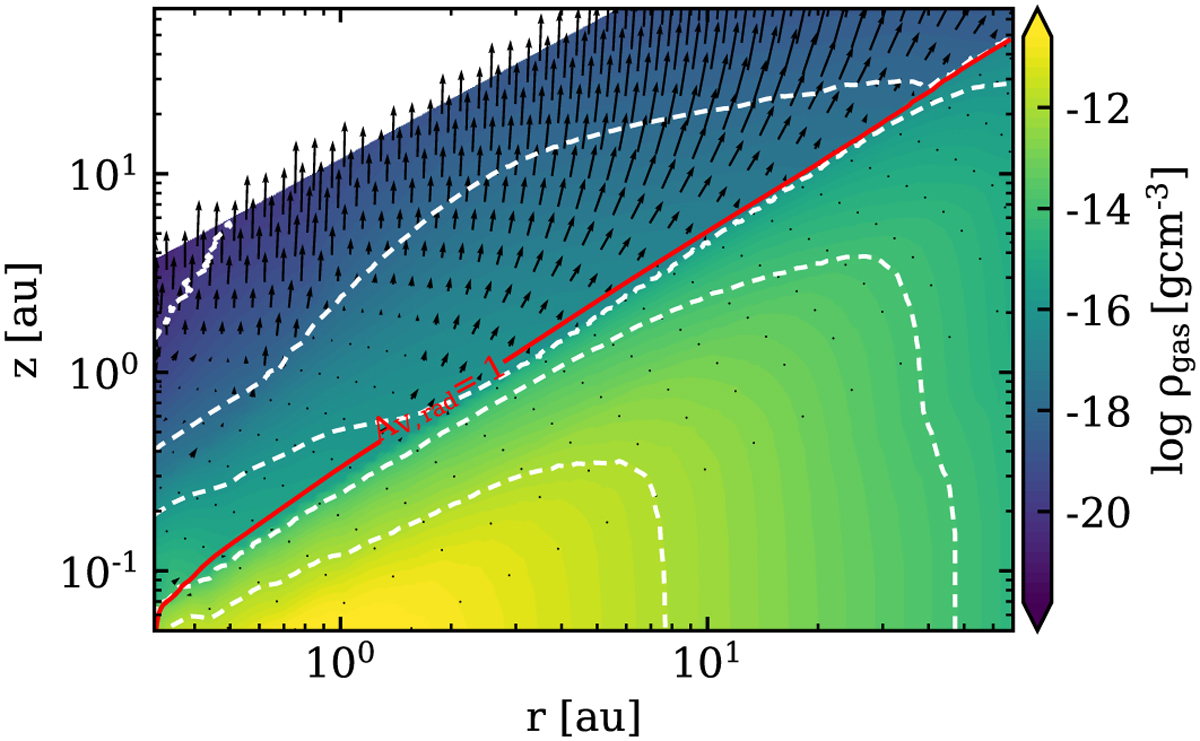
Two-dimensional disk and wind gas density structure and velocity field (black arrows). This structure is the same in all the presented models. The red solid contour shows where the radial visual extinction Av,rad is equal to unity; here, we refer to this layer as the disk surface. The white dashed contours correspond to the values shown in the colour bar.
Current usage metrics show cumulative count of Article Views (full-text article views including HTML views, PDF and ePub downloads, according to the available data) and Abstracts Views on Vision4Press platform.
Data correspond to usage on the plateform after 2015. The current usage metrics is available 48-96 hours after online publication and is updated daily on week days.
Initial download of the metrics may take a while.