Fig. A.1

Download original image
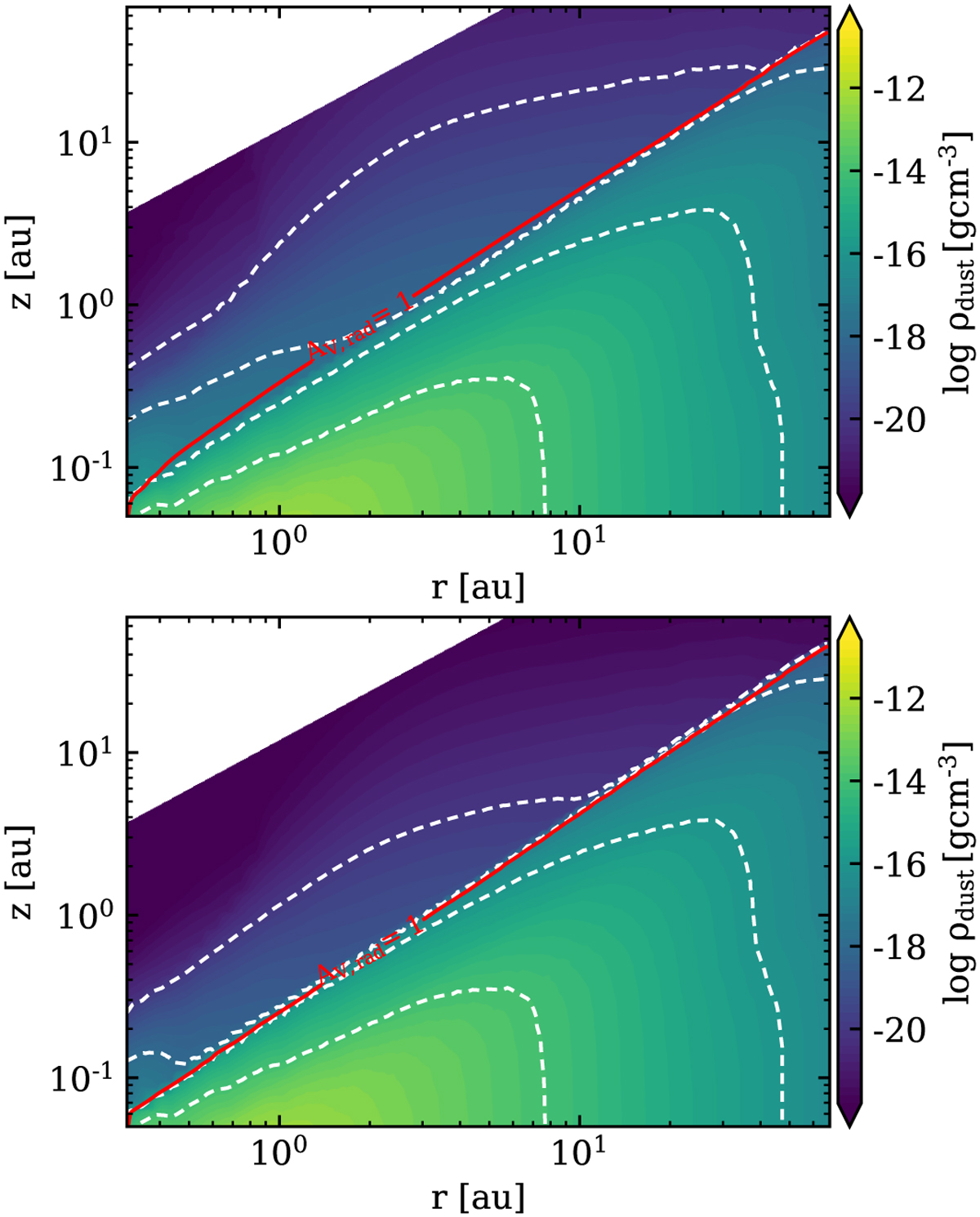
Dust density structure for the models with a constant gas-to-dust mass ratio of g/d = 100 in the disk and wind (top panel) and the model with a factor 10 lower dust density g/d = 1000 in the wind region (bottom panel). The red solid contour shows where the radial visual extinction AV,rad equals unity. The white dashed contours correspond to the values shown in the colour bar.
Current usage metrics show cumulative count of Article Views (full-text article views including HTML views, PDF and ePub downloads, according to the available data) and Abstracts Views on Vision4Press platform.
Data correspond to usage on the plateform after 2015. The current usage metrics is available 48-96 hours after online publication and is updated daily on week days.
Initial download of the metrics may take a while.