Open Access

Fig. B.2

image

Download original image

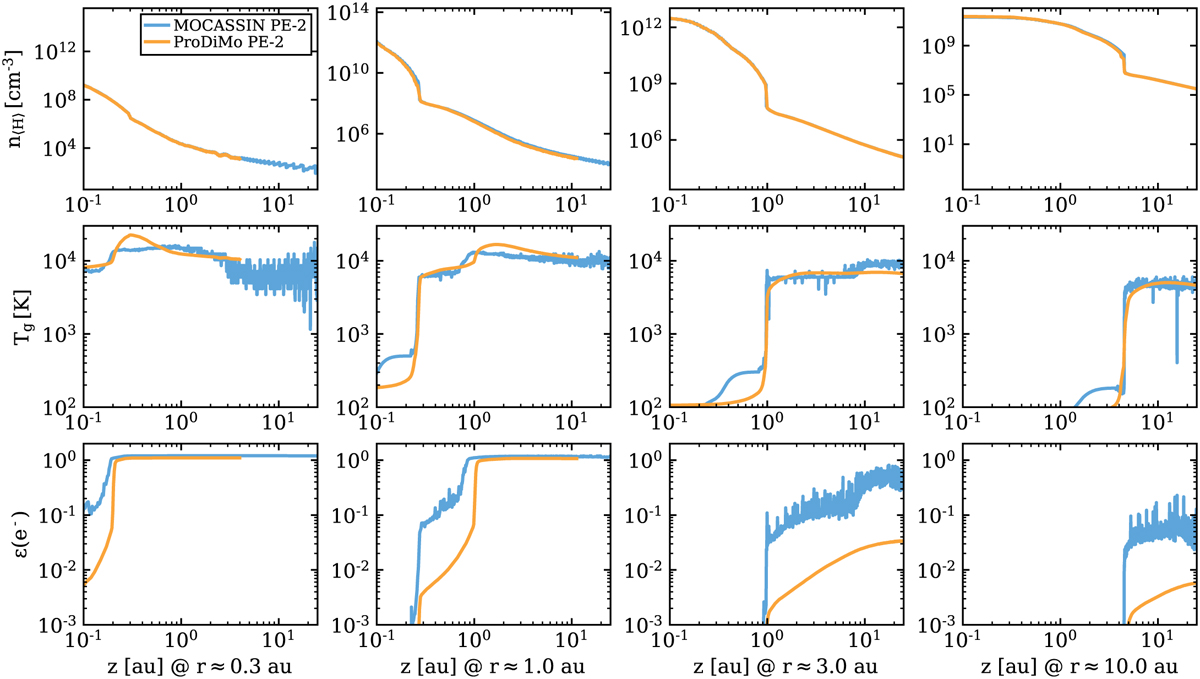
Comparison of the PRODIMO (orange colour) and the MOCASSIN (blue colour) model for vertical cuts through the disk at r ≈ 0.3, 1, 3 and 10 au (columns from left to right). The rows (top to bottom) show the comparison for the hydrogen number density (for reference, identical in the two models), gas temperature, and electron abundance (relative to the total hydrogen density), respectively.

Current usage metrics show cumulative count of Article Views (full-text article views including HTML views, PDF and ePub downloads, according to the available data) and Abstracts Views on Vision4Press platform.

Data correspond to usage on the plateform after 2015. The current usage metrics is available 48-96 hours after online publication and is updated daily on week days.

Initial download of the metrics may take a while.