Open Access

Fig. 3

image

Download original image

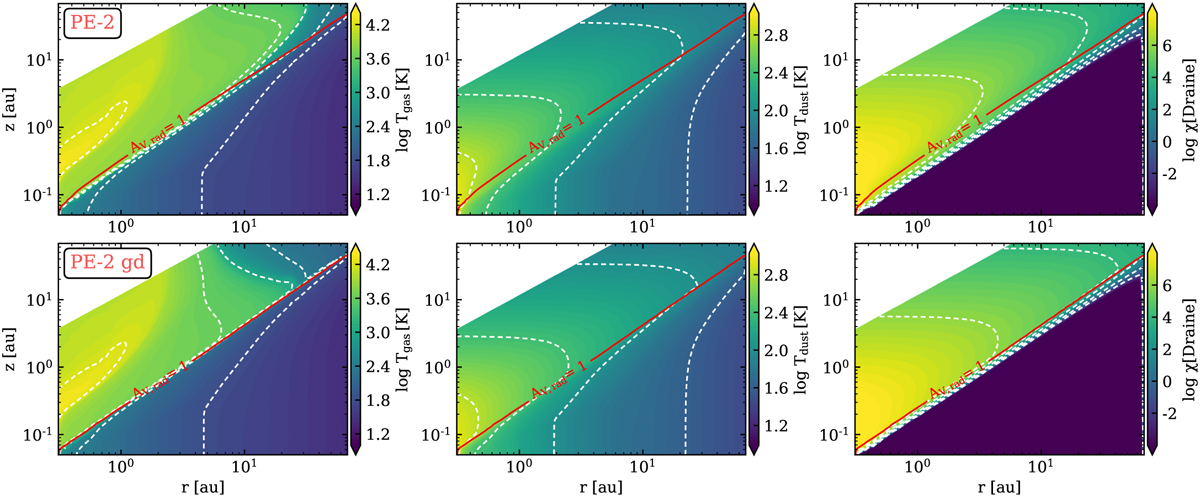
Two-dimensional gas temperature Tgas, dust temperature Tdust, and FUV radiation field χ (in units of the Draine field Draine & Bertoldi 1996; Woitke et al. 2009) for the PE-2 (top row) and PE-2 gd (bottom row) models. The red solid contour shows where the radial visual extinction AV,rad is equal to unity, which roughly separates the wind region and the rotating disk. The white dashed contours correspond to the values shown in the colour bars.

Current usage metrics show cumulative count of Article Views (full-text article views including HTML views, PDF and ePub downloads, according to the available data) and Abstracts Views on Vision4Press platform.

Data correspond to usage on the plateform after 2015. The current usage metrics is available 48-96 hours after online publication and is updated daily on week days.

Initial download of the metrics may take a while.