Fig. 10.

Download original image
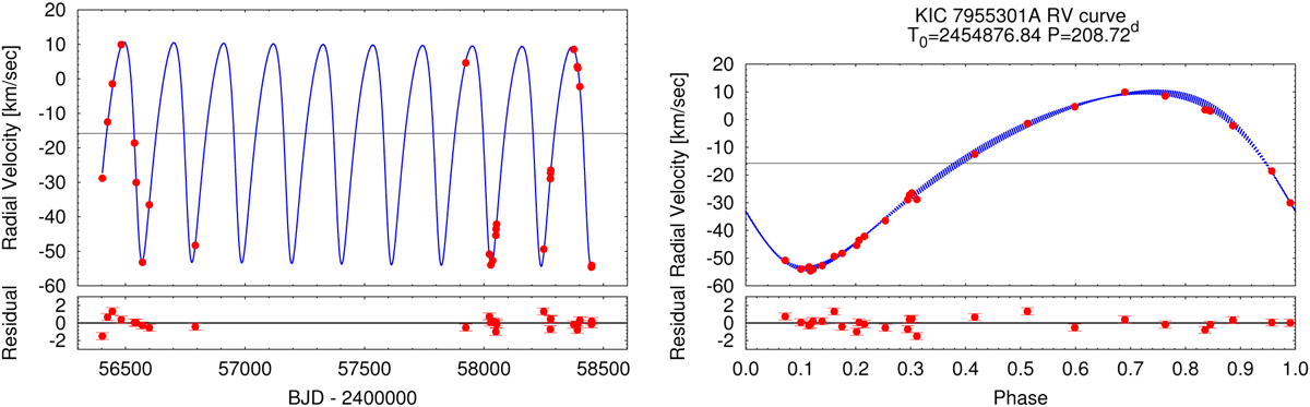
Radial-velocity data with their best fit models. Left panel: radial-velocity data (red) as a function of time expressed in modified Julian dates, with their best fit model (blue line). Right: same folded over the RG orbital period and displayed as a function of orbital phase. The dispersion of the best-fit curve in blue is caused by the varying shape of the RV curve as a function of time.
Current usage metrics show cumulative count of Article Views (full-text article views including HTML views, PDF and ePub downloads, according to the available data) and Abstracts Views on Vision4Press platform.
Data correspond to usage on the plateform after 2015. The current usage metrics is available 48-96 hours after online publication and is updated daily on week days.
Initial download of the metrics may take a while.