Open Access
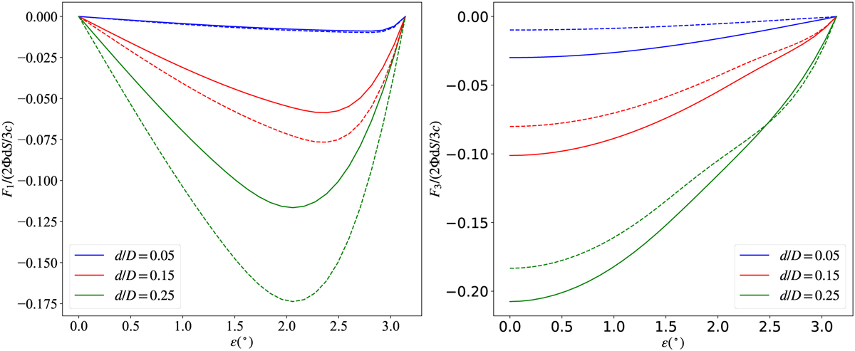
Fig. 5

Download original image
Recoil forces for craters with different h/D0. The results considering the self-heating effect are shown by solid lines, and the results obtained without the self-heating effect are shown by dashed lines. The left panel denotes the tangential component of the recoil force, and the right panel denotes the normal component.
Current usage metrics show cumulative count of Article Views (full-text article views including HTML views, PDF and ePub downloads, according to the available data) and Abstracts Views on Vision4Press platform.
Data correspond to usage on the plateform after 2015. The current usage metrics is available 48-96 hours after online publication and is updated daily on week days.
Initial download of the metrics may take a while.