Open Access

Fig. 10

image

Download original image

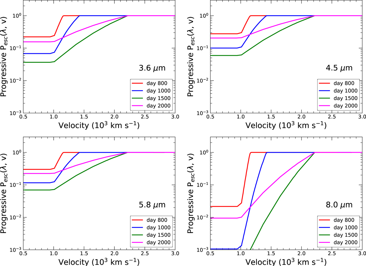
Wavelength-dependent progressive escape probabilities (Eq. (17)), which are a function of the local velocity, are presented for days 800, 1000, 1500, and 2000, for four different wavelengths (3.6, 4.5, 5.8, and 8.0 µm) that correspond to the Spitzer Space Telescope IRAC bands.

Current usage metrics show cumulative count of Article Views (full-text article views including HTML views, PDF and ePub downloads, according to the available data) and Abstracts Views on Vision4Press platform.

Data correspond to usage on the plateform after 2015. The current usage metrics is available 48-96 hours after online publication and is updated daily on week days.

Initial download of the metrics may take a while.