Open Access

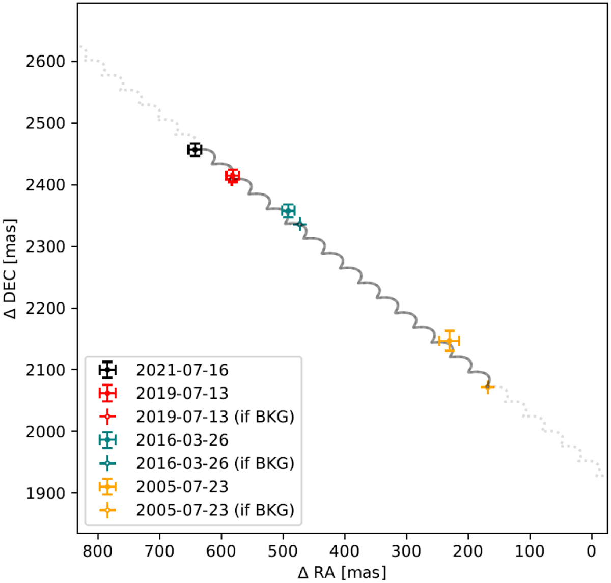
Fig. 6

image

Download original image

Relative position of the background star candidate (crosses with caps) near PDS 70 from the PDI data sets (see Table 1) and the NACO data set presented in Riaud et al. (2006). Crosses with no caps show the expected positions (backward predictions based on the measurement from 2021) as estimated from the proper motion of PDS 70 with Gaia.

Current usage metrics show cumulative count of Article Views (full-text article views including HTML views, PDF and ePub downloads, according to the available data) and Abstracts Views on Vision4Press platform.

Data correspond to usage on the plateform after 2015. The current usage metrics is available 48-96 hours after online publication and is updated daily on week days.

Initial download of the metrics may take a while.