Open Access

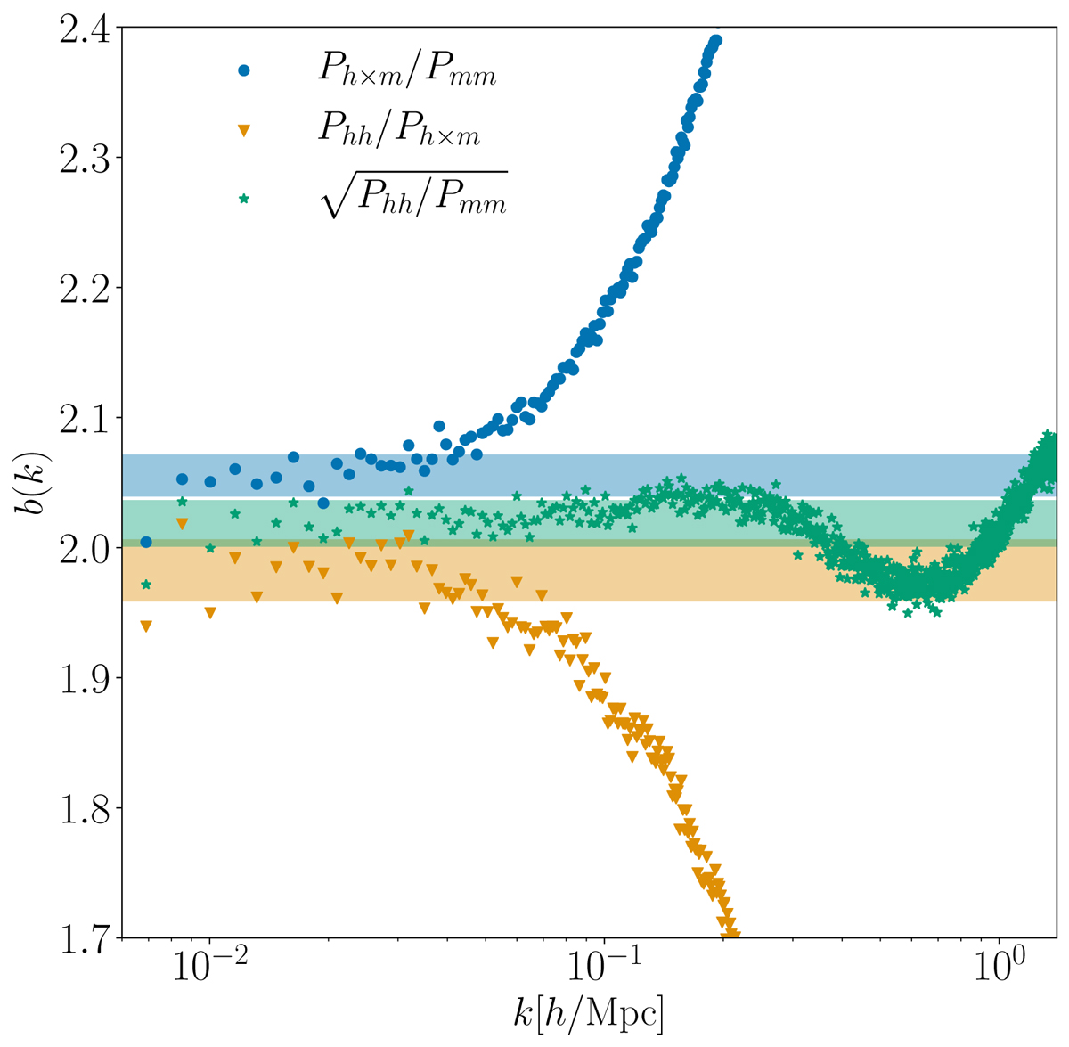
Fig. 1.

image

Download original image

Halo bias obtained at redshift z = 0 from three different definitions for a ΛCDM simulation with box size 4032 Mpc h−1 and Np = 46083 particles. The bias is computed for halos with mass Mh ≥ 2 × 1013Mh−1. Bands show the confidence intervals for the linear bias b1.

Current usage metrics show cumulative count of Article Views (full-text article views including HTML views, PDF and ePub downloads, according to the available data) and Abstracts Views on Vision4Press platform.

Data correspond to usage on the plateform after 2015. The current usage metrics is available 48-96 hours after online publication and is updated daily on week days.

Initial download of the metrics may take a while.