Open Access

Fig. 3.

image

Download original image

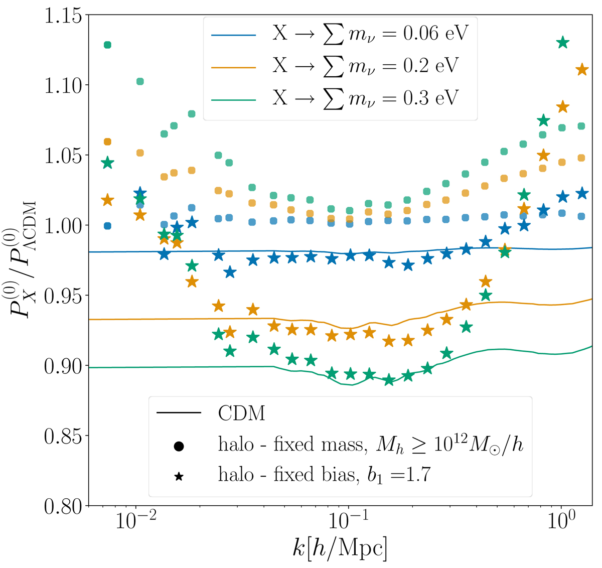
Same as Fig. 2, but comparing models with different neutrino masses to ΛCDM (where neutrinos are massless). Only a halo selection at fixed bias (stars) recovers the monopole power ratio of matter (solid lines) on intermediate scales. Bias values and mass thresholds are chosen in a different way to in the k-essence comparison because of the better mass resolution.

Current usage metrics show cumulative count of Article Views (full-text article views including HTML views, PDF and ePub downloads, according to the available data) and Abstracts Views on Vision4Press platform.

Data correspond to usage on the plateform after 2015. The current usage metrics is available 48-96 hours after online publication and is updated daily on week days.

Initial download of the metrics may take a while.