Open Access

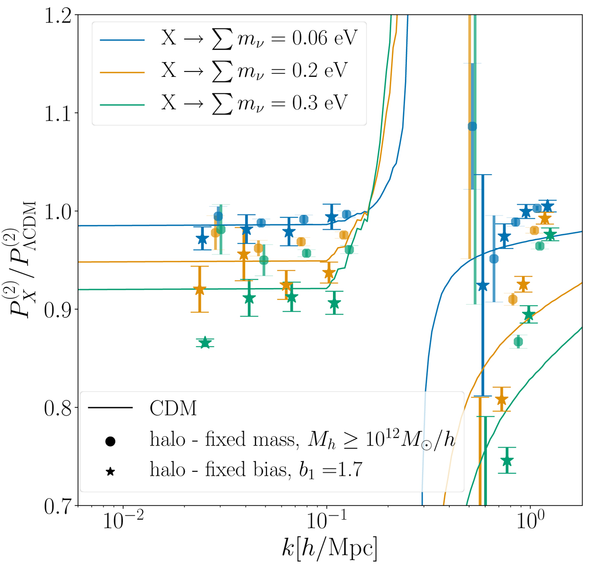
Fig. 4.

image

Download original image

Ratio with respect to the massless case (ΛCDM) of the quadrupole of the halo power spectra (symbols with error bars) compared to the corresponding ratios for matter (solid lines) for different neutrino masses. The stars represent the result for the fixed bias selection, while the circles correspond to the selection at fixed mass threshold. The divergence at k ≃ 0.3 h−1 Mpc is caused by a zero-crossing of the quadrupole.

Current usage metrics show cumulative count of Article Views (full-text article views including HTML views, PDF and ePub downloads, according to the available data) and Abstracts Views on Vision4Press platform.

Data correspond to usage on the plateform after 2015. The current usage metrics is available 48-96 hours after online publication and is updated daily on week days.

Initial download of the metrics may take a while.