Open Access
Fig. 4

Download original image
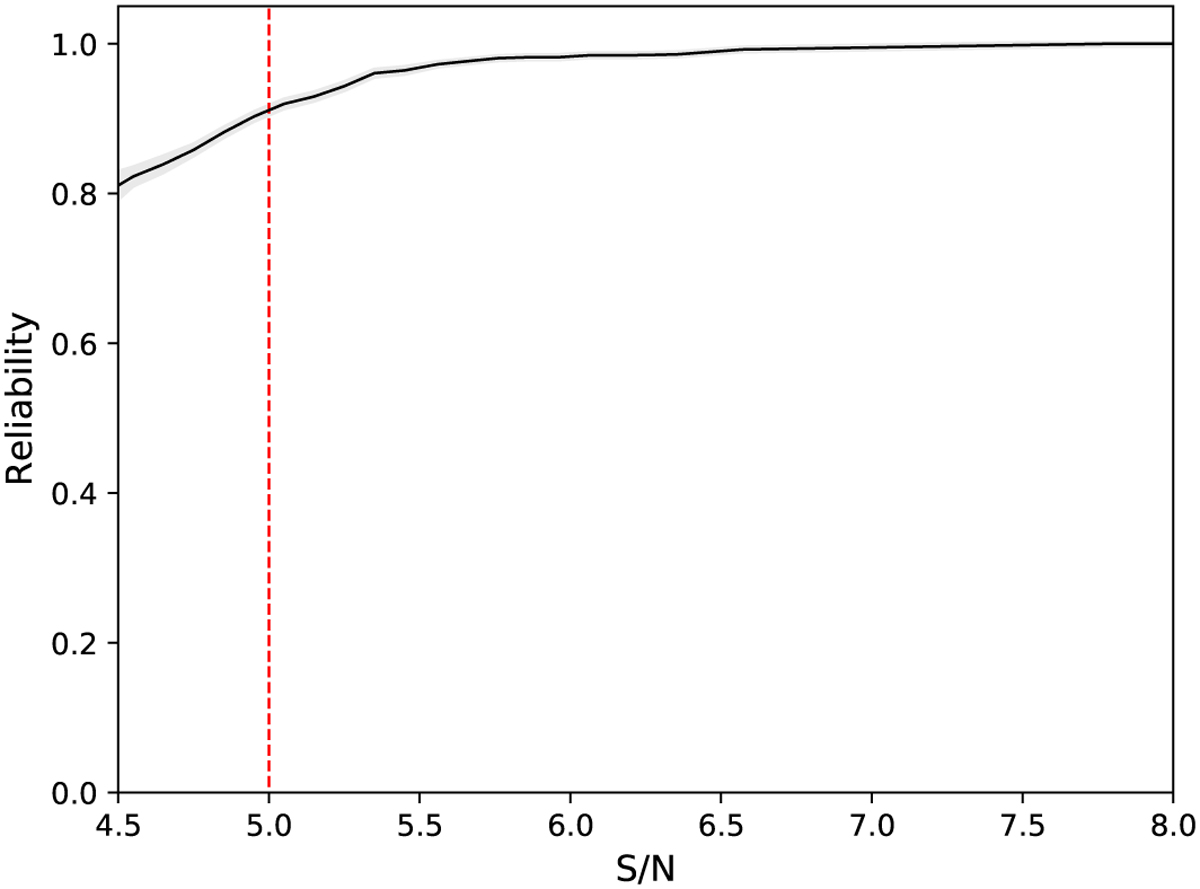
Reliability function of the catalog (black solid line) with the 1-σ uncertainty (gray shades) as a function of the S/N. The red vertical dashed line marks the detection threshold (S/N = 5), corresponding to a reliability value of 93%.
Current usage metrics show cumulative count of Article Views (full-text article views including HTML views, PDF and ePub downloads, according to the available data) and Abstracts Views on Vision4Press platform.
Data correspond to usage on the plateform after 2015. The current usage metrics is available 48-96 hours after online publication and is updated daily on week days.
Initial download of the metrics may take a while.