Fig. A.1

Download original image
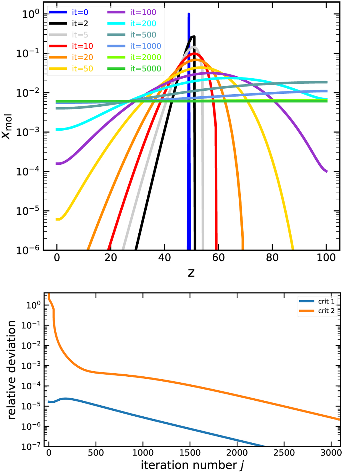
Test of the iterative numerical method to solve the diffusion equation without chemical sources and sinks. We consider a δ-peak for the initial concentration xmol = ni,k/nk at the start of the iterations in a Gaussian density structure (see text). The upper figure shows the concentrations as a function of the number of iterations carried out. The lower figure shows the relative deviations between iterations (see Eqs. (28) and (29)).
Current usage metrics show cumulative count of Article Views (full-text article views including HTML views, PDF and ePub downloads, according to the available data) and Abstracts Views on Vision4Press platform.
Data correspond to usage on the plateform after 2015. The current usage metrics is available 48-96 hours after online publication and is updated daily on week days.
Initial download of the metrics may take a while.