Open Access

Fig. 6

image

Download original image

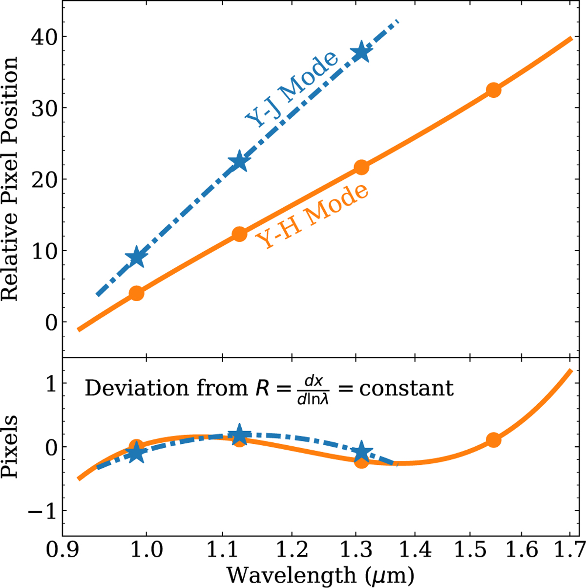
Wavelength solution derived from the positions of the three (in YJ-mode) or four (in YH-mode) calibration lasers for the central lenslet. The YJ and YH lines are offset from one another for clarity. Bottom panel: deviations from a constant spectral resolution, i.e., a constant number of pixels per logarithmic wavelength (the straight line in the top panel).

Current usage metrics show cumulative count of Article Views (full-text article views including HTML views, PDF and ePub downloads, according to the available data) and Abstracts Views on Vision4Press platform.

Data correspond to usage on the plateform after 2015. The current usage metrics is available 48-96 hours after online publication and is updated daily on week days.

Initial download of the metrics may take a while.